Сфінголіпіди (грец. sphingo — стискаю, зв’язую й ліпіди) — мембранні ліпіди, які об’єднує наявність залишків сфінгозинових основ з D-еритро-конфігурацією. Вони можуть належати до фосфоліпідів (див. Ліпіди, Фосфоліпіди) і гліколіпідів (див. Гліколіпіди). До сфінголіпідів належать цераміди, фосфосфінголіпіди і глікосфінголіпіди. Фосфосфінголіпіди мають усі властивості фосфоліпідів; глікосфінголіпіди представлені цереброзидами і гангліозидами. Сфінгозинові основи із загальною формулою RCH(OH)CH(NH2)CH2OH різняться довжиною вуглецевих ланцюгів, ступенем насиченості, кількістю гідроксильних груп. Основні представники цих основ — довголанцюговий двоатомний ненасичений аміноспирт 4-сфінгенін (сфінгозин або 2-амінооктадецен-4-діол-1,3), сфінганін або дигідросфінгозин, 4-гідроксисфінганін або фітосфінгозин та їх С20-гомологи. Основний ланцюг тваринних сфінголіпідів має подвійний зв’язок, а рослинних — додаткові спиртові групи.

Сфінгозин

Сфінганін

Фітосфінгозин
Цераміди (Ц) — ліпіди із загальною формулою R-CH(OH)CH(NHCOR1)CH2OH, де R — алкіл, алкеніл С13–С17; R1 — алкіл, алкеніл С15–С25. Вони утворюються із сфінгозинових основ та ацетил-КоА за участю N-ацилтрансферази. Вільні цераміди присутні в еритроцитах, печінці, селезінці, зв’язані — у структурі С. Їх виділяють при кислотному гідролізі складних С. або синтезують. Цераміди — тверді або воскоподібні речовини, добрерозчинні у хлороформі, метанолі та їх сумішах; мають схильність до внутрішньомолекулярної циклізації з утворенням Δ2–оксазолінів та продуктів їх подальшого перетворення. Цераміди — ключова ланка у біосинтезі сфінголіпідів.

Цераміди

Сфінгомієліни
Реакція цераміду з цитидиндифосфохоліном приводить до сфінгомієліну, а його взаємодія з похідними уридину (уридиндифосфоглюкозою чи уридиндифосфогалактозою) — до цереброзидів. Можливий інший шлях біосинтезу цереброзидів: похідні уридину реагують із сфінгозиновими основами, утворюється психозин (галактозид сфінгозину), який далі N-ацилюється ацилкоензимом А. Із цереброзидів за участю глікозилтрансфераз шляхом послідовного приєднання залишків моносахаридів і сіалової кислоти синтезуються глікосфінголіпіди з олігосахаридними ланцюгами. У клітинах гангліозиди (сіалоглікосфінголіпіди) синтезуються в апараті Гольджі за участю специфічних глікозилтрансфераз і сіалілтрансфераз шляхом переносу залишків моносахаридів і сіалових кислот від уридиндифосфатцукрів і цитидинмонофосфатсіалових кислот до цераміду. Гангліозиди можуть входити до складу рецепторів, напр. токсину холери, пептидних гормонів, деяких вірусів, інтерферону. С. поширені в природі, у значній кількості присутні в клітинах нервової системи тварин і людини. С. гідролізуються у клітинах лізосомальними ферментами до церамідів і далі під впливом церамінідаз розщеплюються на вищі жирні кислоти та сфінгозинові основи. Біологічна роль С. різноманітна. Вони накопичуються при ліпідозах (хвороби Німанна — Піка, Тей-Закса, Гоше тощо). За участю С. формуються мембранні структури аксонів, синапсів та інших клітин нервової тканини, С. опосередковують в організмі механізми пізнавання, рецепторні взаємодії, міжклітинні контакти та інші життєво важливі процеси. Сфінголіпіди виділяють з природних джерел або синтезують. Сфінголіпіди застосовують у наукових дослідженнях, особливо широко у вигляді похідних, мічених радіоактивними атомами або флуоресцентними мітками, для тестування поведінки С. у тканинах, клітинах або мембранних структурах. Глікосфінголіпіди (див. Гангліозиди) і антитіла до них використовують у лікуванні деяких патологічних станів.
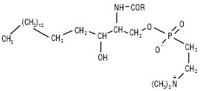
Сфінгомієліни (sphіngo- й myelos — мозок) містять у загальній формулі R — алкіл, алкеніл С15–С25. Це — кристалічні безбарвні сполуки, Тпл 170–220 °С (з розкл.); повністю гідролізуються 2–3н НС1 при нагріванні з утворенням сфінгозинових основ (4-сфінгеніну або сфінганіну), суміші насичених і мононенасичених жирних кислот (пальмітинової, стеаринової, докозанової, лігноцеринової тощо), холіну й фосфорної кислоти. Найпоширеніший із сфінгомієлінів є сфінгомієлін або церамід-1-фосфохолін. У клітинах при дії сфінгомієлінази із сфінгомієлінів утворюється відповідний церамід і фосфохолін. Сфінгомієліни присутні в тканинах тварин (печінка, нирки, легені, селезінка, еритроцити, нервова тканина). Особливо багаті на них сіра й біла речовина мозку (20% усіх ліпідів), а також оболонки аксонів периферичної нервової системи. У жирових відкладеннях майже не містяться. Виділяють їх із мозку великої рогатої худоби або синтезують.
Цереброзиди — сфінголіпіди із загальною формулою R-CH(OH)CH(NHCOR1)CH2OХ, де R та R1– алкіл, гідроксіалкіл-, алкени; Х — залишок моносахариду: глюкози або галактози з β-глікозидним зв’язком чи фукози з α- зв’язком. Типовими представниками цереброзидів головного мозку є френозин — галактоцереброзид на основі сфінгозину, де R1=С22Н25СН(ОН); церазин (R1=С23Н24) та нервон з R1=СН3(СН2)6СН=СН(СН2)13. Цереброзиди — тверді речовини, нерозчинні у воді, добрерозчинні в органічних розчинниках. Вони містяться у тканинах вищих рослин, тварин, людини. На клітинному рівні беруть участь у міжклітинному пізнаванні, імунологічних реакціях, ізолюючих властивостях мієлінової оболонки нервових аксонів. Зниження активності або відсутність ферментів гідролізу цереброзидів призводить до накопичення в організмі, особливо у мозку, галактоцереброзидів (хвороба Краббе). Підвищена концентрація глюкоцереброзидів у печінці та мозку свідчить про порушення обміну гангліозидів (хвороба Гоше).
Боєчко Ф.Ф., Боєчко Л.О. Основні біохімічні поняття, визначення і терміни. — К., 1993; Губський Ю.І. Біологічна хімія. — К.–Тернопіль, 2000; Химическая энциклопедия. — В 5 т. — М., 1990.
