БІОІЗОСТЕР (біоізостерне з’єднання) (грец. bio (s) — життя, isos — рівний, однаковий, подібний і stereos — просторовий) — хімічна сполука, яка отримана шляхом обміну атома чи груп атомів на інші схожі атоми або групи атомів і зберігає біологічні властивості вихідного з’єднання. Біоізостерічне заміщення може бути фізико-хімічним або топологічним. Мета створення Б. — отримання нового з’єднання з біологічними властивостями, подібними вихідному, але із зменшеною токсичністю, підвищеною стійкістю до дії ферментативних систем організму або іншими особливостями.
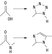
Важливий метод етапу розроблення ЛП — так звана ізостерична або біоізостерична заміна. Термін «ізотери» був уведений ще Ірвінгом Ленгмюром на початку XX ст.: «Молекули або іони, які містять однакове число атомів і мають однакову кількість і розташування електронів». Відповідно ізостерична заміна в конструйованих лікарських засобах — це заміна атома чи групи атомів на схожого(-у) за розміром чи валентністю. Якщо при цьому зберігається фізіологічна активність, то заміна називається «біоізостеричною». Відзначимо, що термін «Б.» належить і до з’єднань, які утворюються шляхом заміни на зовсім «несхожі» угрупування, але зі збереженням біологічних властивостей (рисунок).

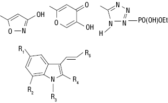
Рисунок. Приклади угрупувань, які здаються несхожими на карбоксильну групу (-СООН), однак часто використовуються замість неї при біоізостеричній заміні
Приклади класичних Б.: -H, -OH, -SH, -NH2, -Cl, -Br, -I, -F, -CH3-CH2-, -COCH2-, -NH-, -CONHR-, -O-, -CO2R-, -S-, -COSR-CH=, -N=, -P=.
Приклади некласичних Б.:

За допомогою біоізостеричної заміни дослідникам вдається, напр., знизити токсичність активного з’єднання, підвищити його стійкість до дії ферментативних систем організму тощо.
Літ.: Зефирова О.Н., Зефиров Н.С. Об истории возникновения и развития концепции биоизостеризма // Вестник Московского университета. Серия 2. Химия. — 2002. — № 4.
