КОФЕРМЕНТ А (коензим А, КоА, кофермент ацилювання) — один із найважливіших коферментів.

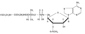
У живих клітинах бере участь у реакціях окиснення, синтезу жирних кислот, ліпідів та ін. К.А бере участь у реакціях переносу ацильних груп. Молекула К.А складається із залишку аденілової кислоти, зв’язаної пірофосфатною групою із залишком пантотенової кислоти, яка, в свою чергу, з’єднана пептидним зв’язком із залишком β-меркаптоетаноламіну. З К.А пов’язане велике коло біохімічних реакцій, що лежать в основі окиснення і синтезу жирних кислот, біосинтезу ліпідів, окисних перетворень продуктів розпаду вуглеводів і т.д. У всіх випадках К.А діє як проміжна сполука, що зв’язує (акцептує) і переносить кислотні залишки на інші речовини. При цьому кислотні залишки або піддаються у складі сполуки з К.А тим чи іншим перетворенням, або передаються без змін на певні метаболіти. Активною формою органічних кислот є ацильні залишки, приєднані до сульфгідрильної (SH) групи К.А макроергічним ацилтіоефірним зв’язком. Велика заслуга в дослідженні хімічної структури і біологічної ролі К.А належить Ф. Ліпману і Ф. Лінену, що виділили К.А з печінки голуба (1947). Повний синтез К.А здійснив X. Корана (1961).
Біологічна хімія / Л.М. Вороніна, В.Ф. Десенко, Н.М. Мадієвська та ін. — Х., 2000; Боєчко Ф.Ф., Боєчко Л.О. Основні біохімічні поняття, визначення і терміни. — К., 1993; Губський Ю.І. Біологічна хімія. — К.–Тернопіль, 2000.
