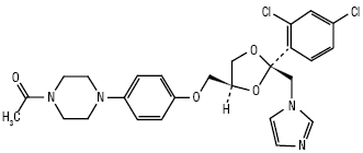
КЕТОКОНАЗОЛ (Ketoconazolum), 1-Ацетил-4-[4[[(2RS,4SR)-2-(2,4-дихлорфеніл)-2(1H-імідазол-1-іл-метил)-1,3-діоксолан-4-іл] метокси] феніл] піперазин.
C26H28Cl2N4O4 Мол. м. 531,1

з енантіомерами
АФІ синтетичного походження. Білий або майже білий кристалічний порошок, практично нерозчинний у воді, добре розчинний у метиленхлориді, метанолі, помірно розчинний в етанолі. Tпл. — 148–152 оС. УФ-спектр: λmax=296 нм у водному розчині кислоти; 287 нм у водному розчині натрію гідроксиду; 244 нм, 296 нм у метанолі. ІЧ-спектр, см-1: 1507,1640,1240,1258,1200,1221 (в KBr). [α] від –0,10˚ до +0,10˚. Зберігають у щільно закупореному контейнері, у захищеному від світла місці.
Ідентифікують за ІЧ-спектром поглинання субстанції; проводять реакцію на хлорид-іони; проводять реакцію з розчином n-диметиламінобензальденгіду в 1 М розчині HCl (фіолетове забарвлення). Кількісно визначають ацидиметричним титруванням (з потенціометричною фіксацією точки еквівалентності).
Фармакологічна група. J02A B02; D01A C08; D11A C30 — протигрибкові препарати.
Фармакологічні ефекти. Протигрибкова дія, що пов’язана з порушенням біосинтезу ергостерину, тригліцеридів та фосфоліпідів, необхідних для утворення клітинної мембрани грибів.
Застосування. При поверхневих та системних мікозах: дермато- та оніхомікозах, викликаних бластоміцетами; мікозі волосяної частини голови, піхвовому мікозі; бластоміцетозі порожнини рота та ШКТ, сечостатевих органів. Профілактично може застосовуватися для попередження грибкових інфекцій при зниженій імунологічній резистентності організму.
От субстанции к лекарству / Под ред. В.П. Черных. — Х., 2005; Компендиум 2015 — лекарственные препараты / Под ред. В.Н. Коваленко. — К., 2015; European Pharmacopoeia 5; The Merk index an Encyclopedia of chemicals, drugs biological / 13 Ed, 2001. — NI.
