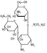
КАНАМІЦИНУ МОНОСУЛЬФАТ (Kanamycini monosulfas), о-3-аміно-3-деокси-α-D-глюкопіранозил-(1→6)-о-[6-aміно-6-деоксі-α-D-глюкопіранозил-(1→4)]-2деокси-D-стрептаміну сульфат.
C18H36N4O11, H2SO4, H2O Мол. м. 601

АФІ, продукований певними штамами Streptomyces kanamyceticus. Кристалічний порошок білого або майже білого кольору, розчинний у воді (1:8), практично нерозчинний в ацетоні, спирті та ефірі. pКа = 7,2; УФ-спектр: λmax = 249 нм (в 0,1 М HCl); ІЧ-спектр, см–1: 980, 1033, 1068, 1143, 1123, 1516 (в KBr). Зберігають у щільно закупореному контейнері. Якщо субстанція стерильна, зберігають у стерильному контейнері з контролем першого розкриття.
Ідентифікують методом ТШХ в системі метанол — амоніаку розчин концентрований (100:1,5); з пікриновою кислотою утворюються кристали (Tпл. 235 оС із розкладанням); з розчином нінгідрину при нагріванні (фіолетове забарвлення); зі спиртовим розчином орцину в присутності HCl концентрованої та FeCl3 при кип’ятінні (зелене забарвлення); субстанція дає характерну реакцію на сульфати. Кількісно визначають мікробіологічним методом.
Фармакологічна група. J0G B04 — антибіотики групи аміноглікозидів.
Фармакологічні ефекти. Чинить бактерицидну дію на грампозитивні та грамнегативні мікроорганізми, а також кислотостійкі бактерії (включаючи мікобактерії туберкульозу). Діє на штами мікобактерій туберкульозу, стійкий до стрептоміцину, ПАСК, ізоніазиду та протитуберкульозних препаратів (крім флориміцину). Ефективний по відношенню до мікроорганізмів, стійких до тетрацикліну, еритроміцину, левоміцетину, але не щодо інших препаратів групи неоміцину (перехресна стійкість). Не діє на анаеробні бактерії, гриби, віруси та більшість найпростіших.
Застосовують при гнійно-септичних захворюваннях (сепсисі, менінгіті, перитоніті, септичному ендокардиті), інфекційно-запальних захворюваннях органів дихання (пневмонії, емпіємі плеври, абсцесі легенів та ін.), інфекціях нирок та сечовивідних шляхів, гнійних ускладнень у післяопераційний період, при інфікованих опіках, туберкульозі легенів.
Державна Фармакопея України / Державне підприємство «Науково-експертний фармакопейний центр». 1-ше вид. — Х., 2001; От субстанции к лекарству / Под ред. В.П. Черных. — Х., 2005; Компендиум 2015 — лекарственные препараты / Под ред. В.Н. Коваленко. — К., 2015; Clarke’s isolation and identification of drugs / Editor A.C. Moffat. — London, 1986; The Merk index an Encyclopedia of chemicals, drugs and biological / 13 Ed, 2001. — № 1.
