ГЕПАРИН (лат. heparinum < грец. hepar — печінка) — фізіологічна речовина протеоглікан, у якій кілька полісахаридних ланцюгів зв’язані із загальним білковим ядром. Г. має характерні структурні особливості.

Гепарин
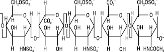
Дисахаридний компонент полісахаридних ланцюгів Г. містить глюкозамін і уронову кислоту. Більшість аміногруп залишків глюкозаміну існують у N-сульфатованій формі, але є невелика кількість ацетильованих аміногруп. Близько 90% уронової кислоти становить ідуронова кислота і лише 10% — глюкуронова. Білкова складова протеоглікану унікальна тим, що складається лише із серинових та гліцинових залишків. Найбільшу кількість Г. виявляють у легенях, печінці та шкірі. Мол. м. Г. коливається від 6·103 до 25·103 Дал. Г. синтезується тканинними базофілами (гладкими клітинами) і запасається у гранулах. Ці клітини часто локалізуються за ходом кровоносних судин мікроциркуляторного русла. Під час дегрануляції тканинні базофіли виділяють Г. у міжклітинний простір. Г. бере участь у регулюванні коагуляції крові. За рахунок свого високого негативного заряду (зумовленого залишками уронових кислот та сульфату) Г. інтенсивно взаємодіє з деякими компонентами плазми крові. Він специфічно зв’язує фактори згортання крові ІХ і ХІ, зумовлюючи антикоагулянтну дію. Однак більш важливою для антикоагулянтної активності Г. є його здатність взаємодіяти з α2-глікопротеїном плазми крові — антитромбіном ІІІ. Він збільшує вивільнення у плазму ферменту ліпопротеїнліпази, який міститься у стінках капілярів, і сприяє гідролізу тригліцеридів хіломікронів.
Г. використовують при тромбозі, опіковій хворобі, серцево-судинних захворюваннях, а також як стабілізатор крові під час переливання.
Гонський Я.І., Максимчук Т.П. Біохімія людини. — Тернопіль, 2001; Марри Р., Греннер Д., Мейес П., Родуэлл В. Биохимия человека: В 2 т. — М., 1993.
