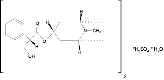
ГІОСЦІАМІНУ СУЛЬФАТ (Hyoscyamini sulfas), [(1R, 3s, 5S)-3-[(5)-(3-гідрокси-2- фенілпропіоніл)оксі]-8-метил-8- азабіцикло[3.2.1]октан сульфат.
С34H48N2O10S, H2SO4, 2Н2О Мол. м. 713

АФІ синтетичного походження. Білий кристалічний порошок, розчинний у воді, помірно розчинний в етанолі, практично нерозчинний в ефірі. Тпл — 203 °С. УФ-спектр; λmax — 252 нм, 258 нм, 264 нм у водному розчині кислоти, рКа 9,7 (21°). ІЧ-спектр, см-1: 1738, 1160, 1025, 1145, 1225, 1050 (в KBr). Зберігають у щільно закупореному контейнері, у захищеному від світла місці.
Ідентифікують за ІЧ-спектром поглинання субстанції; методом ТШХ; проводять реакцію на сульфат-іони; проводять реакцію Віталі — Морена (фіолетове забарвлення). Кількісно визначають неводним ацидиметричним титруванням (з потенціометричною фіксацією точки еквівалентності).
Фармакологічна група. A03В A03 — антихолінергічні препарати.
Фармакологічні ефекти. Антихолінергічний. Знижує секрецію залоз, підвищує внутрішньоочний тиск, викликає параліч акомодації, розслаблює гладкі м’язи внутрішніх органів, підвищує ЧСС.
Застосування. Діагностика захворювань ока. Виразка шлунка і дванадцятипалої кишки, хронічний гастрит. Спазми ШКТ, жовчовивідних шляхів, жовчного міхура. Брадикардія. Отруєння антихолінестеразними препаратами.
От субстанции к лекарству / Под ред. В.П. Черных. — Х., 2005; European Pharmacopoeia 5; The Merk index an Encyclopedia of chemicals, drugs and biological / 13 Ed., 2001. — № 1.
