ДИСПЕРСІЙНИЙ АНАЛІЗ (лат. dispersio — розсіювання + грец. analysis — розкладання) — сукупність методів визначення розміру і форми частинок, питомої поверхні та концентрації дисперсної фази у дисперсних системах. Існуючі методи Д.а. можна розділити на три групи (таблиця).
Таблиця. Класифікація методів дисперсійного аналізу
| Методи дисперсійного аналізу | Назва методу | Границі вимірювання розмірів частинок дисперсної фази |
| Методи вимірювання параметрів окремих частинок (лінійних розмірів тощо) | Оптична мікроскопія Електронна мікроскопія Ультрамікроскопія |
Від 1 мкм до декількох мм Від 1 нм до декількох мкм Від 2 до 500 нм |
| Методи, що базуються на механічному розподілі дисперсної системи на декілька класів за величиною частинок | Ситовий аналіз Фільтраційний аналіз Гідродинамічні методи аналізу |
Від 50 мкм до 10 мм Від 0,1 до декількох мм |
| Методи, що ґрунтуються на вивченні властивостей ансамблю частинок (ансамблю пор) | Седиментаційний аналіз (седиментометрія) Нефелометрія Турбідиметрія Адсорбційні методи аналізу |
Від 1 до 500 мкм Питома поверхня Sпит = 10–103 м2/г (що відповідає розмірам частинок від 10 до 1000 нм) |
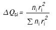
Дисперсні системи (див. Дисперсні системи) є полідисперсними та їх характеризують за середнім діаметром (радіусом) частинок дисперсної фази. Реальну полідисперсну суміш умовно замінюють на систему, яка складається із декількох фракцій, що містять частинки усередненого розміру. Залежно від того, які параметри полідисперсної і монодисперсної систем припускаються однаковими, найчастіше використовують такі способи усереднення радіусу частинок:
– середньочисельний (однакове число частинок):
, (1)
де ni — число частинок, що мають радіус ri; Σnі — сумарне число частинок в системі.
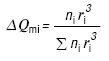
– середньоповерхневий (однакова сумарна поверхня):
(2)
– середньомасовий або середньооб’ємний (однакова загальна маса або об’єм частинок):
(3)
Для монодисперсної системи
. Для полідисперсної системи
. Відношення
характеризує полідисперсність системи.
Для зручності обробки результатів Д.а. частинки системи згруповують за фракціями, які відповідають певним інтервалам розмірів. При розрахунках
число частинок ni в інтервалі радіусів
(від ri до ri+
) відносять до середнього для цієї фракції радіуса
(далі під ri мають на увазі ri, сер).
Результати Д.а. найчастіше оформляють у вигляді гістограм, при побудові яких на осі ординат відкладають значення вмісту частинок у прийнятих інтервалах радіусів (у % від загальної кількості врахованих частинок), а на осі абсцис — радіус частинок r.
(4)
Така гістограма дає наочне уявлення про розподіл частинок за розмірами за умови, що інтервали радіусів у фракціях однакові
. Частіше на осі ординат відкладають густину розподілу
, яка не залежить від величини інтервалів
. Крива, проведена через точки, що відповідають серединам інтервалів гістограми
, побудованої у координатах
, є диференціальною кривою розподілу частинок за розмірами (рисунок).

Рисунок. Гістограма та диференціальна крива розподілу частинок порошку за розмірами
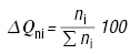
При побудові інтегральної кривої розподілу частинок за розмірами для кожної фракції ri визначають величину
(де
— число частинок у фракціях з радіусами
). Значення Qn (у % від загального числа врахованих частинок) відкладають на осі ординат, значення радіусів — на осі абсцис. Така інтегральна крива характеризує кількісний розподіл частинок за розмірами
.
За даними Д.а. можуть бути побудовані також інтегральні криві масового (об’ємного) і поверхневого розподілу частинок за розмірами відповідно
. Найбільш просто це зробити для систем з частинками правильної форми, знаючи радіус яких, можна розрахувати масу, об’єм і поверхню частинок. Для побудови кривих розподілу відповідно
розраховують 
; (5)
(6)
Відношення
використовують для побудови диференціальних кривих масового і поверхневого розподілу частинок за розмірами.
Д.а. у грубодисперсних системах (сипкі тіла, грубі зависі) проводять за допомогою сухого або мокрого ситового аналізу — послідовним просіюванням крізь стандартний набір сит з певним розміром пор, які поступово зменшуються.
Д.а. у мікрогетерогенних системах (суспензії, емульсії, дими, тумани, порошки) проводять за допомогою світлової мікроскопії, седиментометрії та фільтрування крізь спеціальні фільтри з порами певних розмірів. У світловій мікроскопії використовують лабораторний оптичний мікроскоп будь-якого типу, в окуляр якого вставляється мікрометрична сітка. Вона розбиває поле зору мікроскопа на квадрати, в яких ведеться підрахунок частинок за фракціями.
У седиментометрії вимірюють швидкість осідання (спливання) частинок V за умов їх ламінарного незалежного руху під дією сили тяжіння і розраховують радіус частинок:
, (7)
де g — прискорення сили тяжіння; ρ i ρ0 — густина частинок і середовища відповідно;
— в’язкість середовища.
Д.а. в ультрамікрогетерогенних системах (емульсії, ліозолі) проводять методом електронної мікроскопії. Сучасні методи обробки мікрофотографій або електронно-мікроскопічних знімків дозволяють автоматично на основі перегляду великого числа полів препарату в колоїдному стані отримати повну криву розподілу частинок за розмірами.
Середній розмір частинок може бути визначений також методом ультрамікроскопії. За допомогою ультрамікроскопа розраховують числа частинок, що світяться у виділеному певному об’ємі розчину або в потоці:
(для сферичних частинок) (8)
або
, (для кубічних частинок) (9)
де r — радіус сферичних частинок; l — довжина ребра куба; c — масова концентрація золю;
— число частинок у виділеному оптичному об’ємі V; ρ — густина частинок дисперсної фази.
Для проведення Д.а. ультрамікрогетерогенних систем часто використовують ще такі оптичні методи, як нефелометрія і турбідиметрія, що базуються на вимірюванні розсіяного або поглинутого світла колоїдним розчином, і розрахунок проводять за такими рівняннями:
Ip = I0νkV2 = I0kcV2 (10);
ln I0 / In = 2,3 D = τ l (11),
де Ip — інтенсивність розсіяного світла; I0 — інтенсивність падаючого світла; k — константа; ν — частинкова концентрація; V — об’єм частинки; с = νV — об’ємна концентрація дисперсної фази; In — інтенсивність світла, яке пройшло через систему товщиною в l; τ — каламутність розчину; D — оптична густина.
При використанні седиментометрії для Д.а. ультрамікрогетерогенних систем седиментацію проводять у відцентровому полі з використанням ультрацентрифуги. У відцентровому полі відстань х, пройдена частинками при седиментації, збільшується з часом τ по експоненті (при постійному числі обертів центрифуги), що дає можливість при дослідженні процесу осідання частинок під час обертання розрахувати їх радіус:
, (12)
де х0 і х — відстань частинок від осі обертання на початку досліду і через проміжок часу τ; w — кутова швидкість обертання ротора центрифуги.
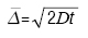
Для систем, які наближено можна вважати монодисперсними, розмір частинок дисперсної фази (що включає сольватну оболонку) можна розрахувати за експериментально визначеними величинами середньоквадратичного зсуву при їх броунівському русі, швидкості дифузії:
; (13)
, (14)
де D — коефіцієнт дифузії,
— в’язкість дисперсійного середовища; r — радіус частинки дисперсної фази; t — час спостереження; або частинкової концентрації на висоті h після встановлення седиметаційно-дифузійної рівноваги в гравітаційному (силовому) полі:
, (15)
де ν0 — концентрація частинок дисперсної фази на висоті h=0.
Д.а. ультрамікрогетерогенних систем може бути проведений також і за допомогою ультрафільтрації, яку проводять крізь ультрафільтри «мембрани» з визначеними розмірами пор.
Для Д.а. полідисперсних систем з твердим дисперсійним середовищем використовують рентгенографічний аналіз, що дозволяє визначити, крім розміру частинок, ще й будову та структуру.
Для практичного використання запропоновано ще низку методів Д.а. із застосуванням лазерного або іонізуючого випромінювання, кондуктометрії тощо.
Основними напрямками удосконалення методів Д.а. є автоматизація підрахунку числа частинок дисперсної фази, підвищення точності і скорочення часу аналізу.
Зимон А.Д., Лещенко Н.Ф. Коллоидная химия. — М., 2001; Коузов П.А. Основы анализа дисперсного состава промышленных пылей и измельченных материалов. — Л., 1974; Рабинович Ф.М. Кондуктометрический метод дисперсионного анализа. — Л., 1970; Фізична і колоїдна хімія / В.І. Кабачний, Л.К. Осіпенко, Л.Д. Грицан та ін. — Х., 1999.
