ЦИКЛОАРТАНИ (терпенстероїди, циклоартові метилстероїди) — група ізопреноїдів, ядром яких є циклопентанопергідрофенантрен, або стеран. Ц., як тритерпеноїди та стероїди, походять з епоксисквалену. Попередником Ц. є ланостан, а точніше циклоаренол. Ц. зазвичай належать до тетрациклічних тритерпеноїдів (див. Сапоніни), які мають 9, 19-циклопропанове угрупування в кільці А стероїдного ядра, а також метильні групи в положеннях С-13, С-14 і дві — у С-4. Основна стереоспецифічна різниця похідних Ц. та стероїдів полягає у цис-сполученні кілець В/С, яке зумовлено наявністю тричленного циклу. У С-17 завжди є бічний ланцюг, що містить від 4 до 10 атомів вуглецю.

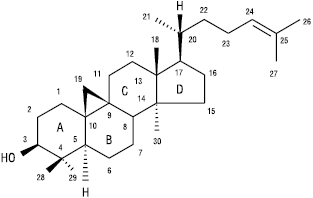
Циклоартенол
Циклоартенолол вперше було виділено в 1951 р. Бартоном з листя Artocarpus integrifolia L. (Moraceae). Через деякий час абсолютну будову і конформаційні особливості Ц. було визначено за допомогою рентгеноструктурного аналізу (циклосиверсигенін і циклогалегігенін). Ц. є біологічним попередником тритерпенових сапонінів, алкалоїдів і стероїдів. Досі Ц. були одержані з представників 43 родин. Найчайстіше Ц. зустрічаються у шести родинах Fabaceae, Combretaceae, Ranunculaceae, Passifloraceae, Meliaceae, Orchidaceae; вони виділені також з Anacardiaceae, Bromeliaceae, Euphorbiaceae, Graminaeae, Loganiaceae, Magnoliaceae, Meliantaceae, Moraceae, Pinaceae, Polypodiaceae. До середини 70-х років ХХ ст. було виділено близько 50 похідних Ц., на сьогодні — понад 200. З відомого роду Астрагал, який налічує понад 2000 видів, що ростуть на території країн СНД, виділено 62 речовини циклоартанової природи. В їх основі — геніни 15 типів: циклокантогеніну, циклоасгеніну, дазіантогеніну, циклоорбігеніну, квісвагеніну, циклосиверсигеніну, циклоадсургеніну тощо. Вуглеводна частина Ц. найчастіше представлена D-ксилозою, яка приєднується до аглікону в положенні C-3; ксилоза часто ацетильована в положенні C-2, C-3 і C-4. Рідше приєднуються D-глюкоза (аралозиди), L-арабіноза, L-рамноза і D-апіоза. Серед похідних Ц. викликають інтерес сполуки, які мають карбонільну групу в положенні С-3 і не утворюють глікозидні форми (напр. циклоасгеніни А і В, 3-дегідроциклоасгенін С). Цей факт підтверджує, що центром глікозидування Ц. є гідроксил у С-3. Формули деяких типів Ц. — похідних циклоасгеніну, циклоорбігеніну та циклосиверсигеніну, які виділені з представників вищеназваних родин, наведені далі.

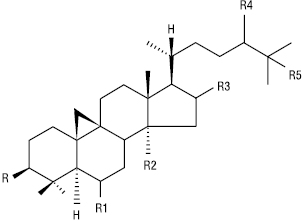
| Сполука | R | R1 | R2 | R3 | R4 | R5 |
| Циклоасгенін A | ОН | Н | Н | ОН | СН3 | ОН |
| Циклоасгенін В | =О | ОН | СН3 | СН3 | СН3 | СН3 |
| Циклоасгенін C | ОН | ОН | СН3 | ОН | ОН | ОН |
| 3-Дегідроциклоасгенін С | =О | ОН | СН3 | СН3 | СН3 | СН3 |
Циклоорбігенін є еволюційним попередником норциклоартану дазіантогеніну, який є геніном групи 9,19-циклотритерпеноїдів Astrаgalus dasyаnthus Pall. Але найпоширеніші — похідні циклосиверсигеніну:

Циклосиверсигенін

Циклоорбігенін В
Методи виявлення у рослинній сировині, виділення суми Ц., розділення, ідентифікації індивідуальних сполук, кількісного визначення аналогічні тритерпеновим сапонінам (див. Сапоніни). Циклопропанове угрупування визначають за допомогою спектральних методів аналізу.
Особливості будови Ц. зумовлюють різноманітність видів фармакологічної активності, для них установлена гіпотензивна, кардіотонічна (Astragalus dasyanthus), спазмолітична, протизапальна, противиразкова (Astragalus sieversianus), імуностимулювальна, протипухлинна (циклосиверсіозид F), гіполіпідемічна, гіпохолестеринемічна (Cimicifuga daurica) дія. Вивчення Ц. знаходиться в початковій фазі, що викликає науковий інтерес до цієї групи природних сполук.
Гудвин Т., Мерсер Э. Введение в биохимию растений. — М., 1986. — Т. 2; Abubakirov N.K., Gorovits M.B., Isaev M.I. Progress of cycloartanes chemistry // VIII Indo-soviet symposium on the chemistry of natural products. Abstracts, 1986.– Vоl. 2; Verotta L., Guerrini M., El-Sebakhy N.A. et al. Cycloartane saponins from Astragalus peregrinus as modulators of lymphocyte proliferation // FITOTERAPIA, 2001. — Vol. 72. — № 8; Zhu Y., Lu Sh., Okada Y. et al. // Chem. and Pharm. Bull., 1992. — Vol. 40. — № 8.
