РІВНОВАГА ДОННАНА — рівновага, що встановлюється в системі розчинів, розділених мембраною, непроникною хоча б для одного виду присутніх у системі іонів. Неможливість проникнення крізь таку мембрану іонів поліелектроліту (напр. білка) зумовлює нерівномірний розподіл іонів по обидва боки мембрани. Це явище було детально розглянуто і теоретично обґрунтовано Ф.Дж. Доннаном (F.G. Donnan). Якщо клітина, яка містить сіль білка — RNa, де R — високомолекулярний аніон, який не дифундує крізь мембрану, знаходиться у розчині електроліту NaCl, то початковий стан системи можна позначити схемою:

де c1 і c2 — концентрація солі білка і розчину NaCl відповідно. Мембрана є проникною для іонів Na+ та Сl–, тому вони вільно переходять з одного боку на інший. При цьому крізь мембрану переходить деяка кількість іонів Cl–, відсутніх усередині клітини. У результаті відбувається перерозподіл іонів з обох боків мембрани і встановлюється рівновага, що характеризується такими концентраціями іонів:

У стані рівноваги добутки концентрацій дифундуючих іонів по обидва боки мембрани мають бути однаковими:
[Na+]1[Cl—]1 = [Na+]2[Cl—]2,
(c1 + x)х = (с2 — х)(с2 — х).
Таким чином, кількість іонів Na+ та Cl–, які перейшли усередину клітини, відповідає x:

(рівняння Доннана).
Можливі три варіанти розподілу іонів по обидва боки мембрани:
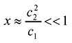
1. При c1 >> c2, тобто [Na+] всередині клітини значно вищий, ніж іззовні:
,
звідки випливає, що електроліт NaCl переважно міститься зовні від клітини і лише незначна його кількість перейде всередину.
2. При c2 >> c1 маємо
,
а це означає, що електроліт рівномірно розподілиться по обидва боки мембрани.
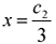
3. При c1 = c2:
, у цьому випадку всередину клітини переміститься третя частина іонів електроліту, що міститься зовні.
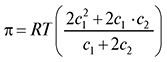
Осмотичний тиск розчину в результаті встановлення рівноваги Доннана буде дорівнювати:
π = π1+ π2+ π3–2π4,
де π1=RT·c1 — осмотичний тиск, зумовлений високомолекулярними іонами R–; π2=RT·(c1+x) — осмотичний тиск іонів Na+ у клітині; π3=RT·(x) — осмотичний тиск іонів Cl– у клітині; π4=RT·(c1–x) — осмотичний тиск іонів Na+ i Cl– зовні від клітини.
Отже, осмотичний тиск у системі дорівнює:
.
Якщо c1 >> c2, то π=RT·2c1, тобто при малій концентрації електроліту зовні від клітини тиск визначається іонами високомолекулярного електроліту (Na+ i R–).
За умови c1 < c2, тобто коли висока концентрація електроліту знаходиться зовні від клітини, осмотичний тиск становить π=RT·c1. Це означає, що знайдений осмотичний тиск зумовлений власне високомолекулярними іонами (R–). При всіх проміжних співвідношеннях с1 і с2 осмотичний тиск буде змінюватися у межах від 2RT·c1 до RT·c1; якщо високомолекулярний іон буде мати заряд z(Rz–), то тиск буде змінюватися від (z + 1)c1RT до RT·c1. Тому при вимірюванні осмотичного тиску поліелектролітів необхідно враховувати ефект Доннана. Для цього визначають концентрацію електролітів у системі і вводять у розрахунки відповідну поправку або виміряють осмотичний тиск у присутності надлишку низькомолекулярного електроліту. У цьому випадку знайдений осмотичний тиск відповідає осмотичному тиску тільки високомолекулярних іонів R–. Співвідношення іонних концентрацій зберігаються також у більш складних системах, коли відбувається дифузія кількох електролітів або багатовалентних іонів.
Унаслідок нерівномірного розподілу електролітів між клітиною і зовнішньою рідиною виникає різниця потенціалів, яку називають мембранним біопотенціалом. Цей механізм нерівномірного розподілу іонів відіграє важливу роль у регулюванні у клітинах та живих тканинах необхідних концентрацій іонів. Напр., при активному диханні незначне зниження рН у тканинах у результаті утворення СО2 і Н+ полегшує вивільнення кисню, пов’язаного з гемоглобіном. Цей процес супроводжується зв’язуванням Н+ гемоглобіном, що збільшує буферну ємність системи і відновлює початкове значення рН тканини. У даному випадку мембранна рівновага встановлюється у системі еритроцит — плазма крові, що розділені мембраною еритроцита; гемоглобін є поліелектролітом. При порушеннях у тканинах водно-сольового обміну, кислотно-лужної рівноваги при різноманітних патологічних станах відбувається порушення мембранної рівноваги, що викликає зміну буферних та осмотичних властивостей системи. Такі зміни відбуваються, напр., при ацидозі, коли накопичення у крові аніонів кислот супроводжується надлишковим накопиченням іонів К+ і Na+, унаслідок чого рН крові знижується. При алкалозі у крові спостерігаються протилежні зміни.
Теорія Доннана має важливе значення для розуміння і теоретичного обґрунтування цілої низки явищ: осмотичного тиску ліофобних колоїдів і розчинів високомолекулярних речовин, негативної адсорбції іонів, процесу набухання, а також різних фізіологічних процесів. Так, мембранна рівновага Доннана допомагає розкрити механізми, завдяки яким клітини можуть існувати у середовищах, що значно відрізняються за вмістом електролітів і осмотичним тиском від внутрішнього середовища клітини.
Антонов В.Ф. Мембранное равновесие. В кн.: БМЭ: В 30 т. / Под ред. Б.В. Петровского. — М., 1985. — Т. 15; Болдырев А.И. Физическая и коллоидная химия для сельскохозяйственных вузов. — М., 1983; Евстратова К.И., Купина Н.А., Малахова Е.Е. Физическая и коллоидная химия / Под ред. К.И. Евстратовой. — М., 1990; Красовский И.В., Вайль Е.И., Безуглый В.Д. Физическая и коллоидная химия. — К., 1983; Фізична і колоїдна хімія / В.І. Кабачний, Л.К. Осіпенко, Л.Д. Грицан та ін. — Х.,1999.
