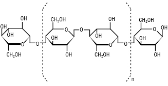
ЦЕЛЮЛОЗА МІКРОКРИСТАЛІЧНА, Cellulosum microcristallinum (PhEur), Microcrystalline cellulose (BP, USPNF, JP), Cellulose (CAS № 9004-34-6); син.: Avicel PH; Celex; cellulose gel; Celphere; Ceolus KG; crystalline cellulose; E460; Emcocel; Ethispheres; Fibrocel; Pharmacel; Tabulose; Vivapur. Ц.м. — очищена, частково деполімеризована целюлоза являє собою білий, без смаку і запаху кристалічний порошок, що складається з пористих частинок. Комерційна Ц.м. відрізняється за розміром частинок і вмістом вологи, що зумовлює її властивості й застосування.
(C6H10O5)n, де n ≈220 Мол. м. ≈36 000

Ц.м. отримують шляхом контрольованого кислотного гідролізу високоочищеної α-целюлози, отриманої з рослинних волокнистих матеріалів, що призводить до часткової деполімеризації полімерних ланцюгів. При подальшому гідролізі, очищенні фільтрацією й висушуванні розпиленням отримують пористі частинки необхідного розміру.
Ц.м. має такі властивості: кут природного укосу — 49° для Ceolus KG; 34,4° для Emcocel 90М; щільність (bulk) — 0,337 г/см3; 0,32 г/см3 для Avicel PH-101; 0,29 г/см3 для Emcocel 90M; 0,29 г/см3 для VivaPur 101; щільність (установлена) — 0,478 г/см3, 0,45 г/см3 для Avicel PH-101; 0,35 г/см3 для Emcocel 90М; щільність (істинна) — 1,512–1,668 г/см3; плинність — 1,41 г/с для Emcocel 90М; Тпл — 260–270 °C; питома поверхня — 1,06–1,12 м2/г для Avicel PH-101; 1,21–1,30 м2/г для Avicel PH-102; 0,78–1,18 м2/г для Avicel PH-200; малорозчинна в 5% розчині натрію гідроксиду; практично нерозчинна у воді, розведених кислотах і в більшості органічних розчинників; вміст вологи, як правило, менше 5%, однак різні сорти можуть містити різну кількість води і різну дисперсність (від 50 до 180 мкм); гігроскопічна.
Ц.м. широко застосовують у фармацевтичній промисловості, головним чином як розпушувач (5–15%) або зв’язуючу речовину/розріджувач (20–90%) у таблетках і капсулах (20–90%) при вологій грануляції та прямому пресуванні. Ц.м. є ковзною (змащуючою), адгезивною речовиною (5–20%), адсорбентом (20–90%) та наповнювачем. Ц.м. також використовують у косметологічній та харчовій промисловості.
Комерційна Ц.м. за своїми властивостями близька до натуральної целюлози, яка зустрічається у вигляді природного компонента в харчових продуктах. Ц.м. нетоксична й зовсім нешкідлива, однак споживання великої кількості клітковини може виявляти проносний ефект. Ц.м. є несумісною з сильними окиснювальними агентами.
Супутніми речовинами є: мікрокристалічна целюлоза і карагінан; мікрокристалічна целюлоза і натрію карбоксиметилцелюлоза; мікрокристалічна целюлоза і гуарова смола; целюлоза порошкоподібна; окремніла мікрокристалічна целюлоза.
Ц.м. і карагінан, син.: Lustre Clear (виробник FMC Biopolymer) використовують як водне плівкове покриття.
Ц.м. і натрію карбоксиметилцелюлоза, син.: Avicel CL-611; Avicel RC-581; Avicel RC-591; colloidal cellulose; dispersible cellulose — білий, без запаху і смаку гігроскопічний порошок. Має такі властивості: рН=6–8 для 1,2% водної дисперсії; вміст вологи не більше 6,0%; розподіл частинок за розмірами: Avicel CL-611: утримується на ситі 60 меш ≤0,1% та на ситі 325 меш ≤50%; Avicel RC-581: утримується на ситі 60 меш ≤0,1% та на ситі 200 меш ≤35%; Avicel RC-591: утримується на ситі 60 меш ≤0,1% та на ситі 325 меш ≤45%; в’язкість (динамічна) — 5–20 мПа·с для 1,2% водної дисперсії Avicel CL-611; 72–168 мПа·с для Avicel RC-581 у тій же концентрації; 39–91 мПа·с для Avicel RC-591 у тій же концентрації; практично нерозчинна в розведених кислотах і органічних розчинниках, частково розчинна в розбавленому лугу та воді (фракція натрію карбоксиметилцелюлози). Суміші мікрокристалічної целюлози і натрію карбоксиметилцелюлози, дисперговані у воді й отримані як тиксотропні гелі, застосовують як суспендуючий агент у фармацевтичних препаратах. Кількість натрію карбоксиметилцелюлози може варіюватися від 8,3 до 18,8% залежно від марки матеріалу.
Ц.м. і гуарова смола, син.: Avicel CE-15 (виробник FMC Biopolymer) використовується у виробництві жувальних таблеток.
Ц.м. є стабільним, але гігроскопічним матеріалом, тому повинна зберігатися в герметично закритій тарі в прохолодному, сухому місці.
Возняк В., Попович В., Богдан Я. Допоміжні речовини та їх застосування в технології лікарських форм: Довідковий посібник / За ред. Ф. Жогло. — Львів: «Центр Європи», 1996. — 92 с.; Hasegawa M. Direct compression: microcrystalline cellulose grade 12 versus classic grade 102 // Pharm. Technol. — 2002. — № 26 (5); Levis S.R., Deasy P.B. Production and evaluation of size-reduced grades of microcrystalline cellulose // Int. J. Pharm. — 2001. — № 213; Wu J.S., Ho H.O., Sheu M.T. A statistical design to evaluate the influence of manufacturing factors on the material properties and functionalities of microcrystalline cellulose // Eur. J. Pharm. Sci. — 2001. — № 12.
