ЦЕЛЮЛОЗА (грец. cellula — клітина) — полісахарид, побудований із залишків D-глюкопіранози, пов’язаних між собою глікозидними β-(1→4)-зв’язками загальної формули [С6Н7О2(ОН)3]n. У середньому на молекулу Ц. припадає 8 тис. залишків глюкози.

← Целобіоза →
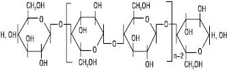
Ланка, яка повторюється в молекулі Ц., є залишком целобіози, що знаходиться в конформації крісла з екваторіально розташованими групами -ОН і -СН2ОН:

Теоретично розрахована конформація молекули Ц. — жорстка спіраль (крок становить 2–3 елементарні ланки), стабілізована внутрішньомолекулярними водневими зв’язками. Вона є головною складовою частиною оболонок рослинних клітин і мікроорганізмів (деякі з них, а також окремі види безхребетних — черви, деревоточці — завдяки ферменту целюлазі, що розщеплює Ц., можуть її засвоювати). Світовий об’єм щорічного приросту Ц. — 104–105 т. У рослинних клітинних стінках молекули Ц. організовані в біологічні структурні одиниці, які отримали назву мікрофібрил. Мікрофібрила складається з пучка молекул целюлози, розташованих по її довжині паралельно одна одній. На поперечному зрізі пучок зазвичай має овальну форму. Молекули Ц. — «ядро» мікрофібрили — утворюють кристалічну сітку. Навколо кристалічного «ядра» знаходиться ділянка, де молекули Ц. розташовані паралельно молекулам «ядра», але не настільки впорядковано. Ця ділянка називається паракристалічною фазою. Молекули води можуть проникати в паракристалічний кортекс, але не в кристалічне «ядро» мікрофібрили. Таким чином Ц. є типовою аморфно-кристалічною речовиною. У найчистішому вигляді Ц. міститься у волокнах бавовнику — 80–85% і в серцевині стебел соняшнику і бузини. Деревина містить 40–60% Ц. Сфера використання залежить від довжини волокон Ц.: якщо вони довші за 20 мм — у текстильній промисловості; 3 мм — у виробництві паперу і картону та для хімічної переробки. Густина 1,52–1,54 г/см3; Трозклад — 210 °С. Вона розчиняється в аміачному розчині Cu(OH)2 (реактив Швейцера), водних сумішах комплексних сполук гідроксидів Cd, Ni з аміаком і амінами, у деяких мінеральних (H2SO4 і H3PO4) і органічних (трифтороцтова) кислотах та ін. При тривалому нагріванні з мінеральними кислотами гідролізується через целодекстрини, целобіозу — С12Н22О11 до β-D-глюкози С6Н12О6. На подальшому її бродінні базується промислове отримання етанолу. До найважливіших реакцій Ц. належать реакції одержання її простих (карбоксиметил Ц., метил Ц., оксіетил Ц., етил Ц. та ін.) і складних (Ц. ацетатної, Ц. нітратної, сульфатної та ін.) етерів.
Із Ц. для медичних цілей виробляють колоксилін — продукт обробки вати або льняних волокон сумішшю сульфатної та азотної кислот. Колоксилін — суміш моно- і динітроефірів Ц. і має брутто-формулу [(C6H9O5NO2) + (C6H8O5(NO2)2)]n. Його розчин у суміші спирту та ефіру (колодій) застосовують для змазування невеликих ранок і закріплення пов’язок. Ц. має широке застосування (у виробництві ЛП, паперу, волокна, пороху, пластмас, целофану, спирту, ацетону, глюкози тощо).
Блинова К.Ф., Гортинский Г.Б. Ботанико-фармакогностический словарь. — 1990; БСЭ. — М., 1975. — Т. 22; Гудвин Т., Мерсер Э. Введение в биохимию растений: В 2 т. — М., 1986. — Т. 1; Роговин З.А. Химия целлюлозы. — М., 1972.
