ПОЛІСОРБАТИ (ТВІНИ, естери поліоксіетиленсорбітану і жирних кислот) — серія частин естерів певної жирної кислоти і сорбіту та його ангідридів, кополімеризованих з приблизно 20, 5 або 4 молями етиленоксиду на 1 моль сорбітолу і його ангідриду. П. містять 20 одиниць оксіетилену і є гідрофільними неіонними ПАР, які широко використовують у виробництві ліків як сурфактанти, емульгувальні, солюбілізувальні, зволожувальні, диспергуючі/суспендуючі речовини. П. ввійшли до фармакопей Європи, Англії, США та інших країн. Їх хімічні назви внесені до CAS Registry (табл. 1).
Таблиця 1. Хімічна назва деяких полісорбатів і їх номер у CAS-реєстрі
| Назва | Хімічна назва | Номер у CAS-реєстрі |
| Полісорбат 20 (твін 20) | Поліоксіетилен 20 сорбітанмонолаурат | 9005–64–5 |
| Полісорбат 40 (твін 40) | Поліоксіетилен 20 сорбітанмонопальмітат | 9005–66–7 |
| Полісорбат 60 (твін 60) | Поліоксіетилен 20 сорбітанмоностеарат | 9005–67–8 |
| Полісорбат 61 (твін 61) | Поліоксіетилен (4) сорбітанмоностеарат | 9005–67–8 |
| Полісорбат 65 (твін 65) | Поліоксіетилен 20 сорбітантристеарат | 9005–71–4 |
| Полісорбат 80 (твін 80) | Поліоксіетилен 20 сорбітанмоноолеат | 9005–65–6 |
Кожен П. має низку синонімів, з них найбільш відомі (на прикладі П. 80) — твін, атлас, кремофор, ліпосорб та багато інших.
Змінюючи число залишків оксиду етилену в молекулі цих речовин, можна змінювати їх гідрофільні та ліпофільні властивості, одержуючи велику кількість похідних. Емпірична формула, мол. м. та консистенція деяких П. при 25 ˚С наведені в табл. 2.
Таблиця 2. Емпірична формула, мол. м. та консистенція деяких полісорбатів
| Назва | Емпірична формула | Мол. м. | n | Консистенція |
| Полісорбат 20 | С58Н114О26 | 1128 | 6 | Рідкий |
| Полісорбат 21 | С26Н50О10 | 523 | – | – |
| Полісорбат 40 | С62Н122О26 | 1284 | 6 | Рідкий |
| Полісорбат 60 | С64Н126О26 | 1312 | 6 | Рідкий |
| Полісорбат 61 | С32Н62О10 | 607 | 2 | Твердий |
| Полісорбат 65 | С100Н194О25 | 1845 | 6 | Твердий |
| Полісорбат 80 | С64Н124О26 | 1310 | 6 | Рідкий |
Примітка: n — ступінь полімеризації.

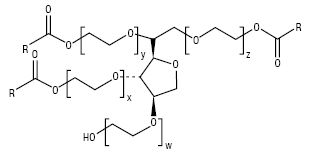
Поліоксіетилансорбітан моноестер

Поліоксіетилансорбітан триестер
w+x+y+z=20 (полісорбати 20, 40, 60, 65, 80)
w+x+y+z=4 (полісорбати 21 і 61)
П. отримують із сорбіту (у три стадії) і циклічного ангідриду сорбіту; часткової етерифікації сорбіту з жирними кислотами (олеїнова, стеаринова) і утворення естеру; додавання етиленоксиду за наявності каталізатора до утворення П. Отриманий продукт є скоріше сумішшю молекул різних видів, ніж сполукою одного виду П.
П. мають характерний запах і ледь помітний гіркуватий смак. Колір П. зазначається в сертифікаті, оскільки він може змінюватись залежно від серії та виробника. Властивості П. наведені в табл. 3.
Для 5% водного розчину рН 6,0–8,0; Тзайм =149 ˚С; розчинність у деяких розчинниках наведена в табл. 4.
Таблиця 4. Розчинність споріднених полісорбатів
| Назва | Розчинник | |||
| етанол | мінеральна олія | рослинна олія | вода | |
| Полісорбат 20 | Р | Н | Н | Р |
| Полісорбат 21 | Р | Н | Н | Р |
| Полісорбат 40 | Р | Н | Н | Р |
| Полісорбат 60 | Р | Н | Н | Р |
| Полісорбат 61 | РН | РН | РНК | Д |
| Полісорбат 65 | РН | РН | РНК | Д |
| Полісорбат 80 | Р | Н | Н | Р |
Примітка: Р — розчинний, РН — розчинний при нагріванні, К — каламутний, Н — нерозчинний, Д — дисперсія.
П. є стабільними до дії електролітів, слабких кислот і основ; часткове омилення відбувається з сильними кислотами і основами. Естери олеїнової кислоти чутливі до окиснення. П. є гігроскопічними продуктами і повинні перевірятися на вміст води і за необхідності підсушуватись. Тривале зберігання П. може призвести до утворення пероксидів.
П. широко використовують у виробництві ліків (табл. 5).
Таблиця 5. Використання полісорбатів у фармації
| Застосування П. | Концентрація,% |
| Емульгувальний агент | |
| Застосовується один в емульсіях о/в | 1–15 |
| Застосовується в комбінації з гідрофільними емульгаторами в емульсіях о/в | 1–10 |
| Застосовується в мазях для збільшення водоабсорбівних властивостей | 1–10 |
| Стабілізатор | |
| Для важкорозчинних АФІ в ліпофільних основах | 1–10 |
| Змочувальний агент | |
| Для нерозчинних діючих речовин у ліпофільних основах | 0,3–3 |
П. добрерозчинні у воді та органічних розчинниках, відносно нелеткі, стерилізуються без розкладання. Фізіологічно індиферентні. Стабільні в широкому інтервалі рН. Як неіонні ПАР, вони придатні для виготовлення різних ЛП. Хімічна нейтральність, низька токсичність і велика хімічна стійкість роблять їх незамінними допоміжними речовинами у фармацевтичній технології: емульгатори при виробництві емульсій типу о/в, стабілізатори, розпушувачі, зволожувачі. П. використовують в ЛП для зовнішнього і перорального застосування, а також для парентерального введення. Як солюбілізатори П. використовують для різноманітних діючих речовин, у т.ч. олій та жиророзчинних вітамінів; як змочувальні речовини — при виготовленні пероральних і парентеральних суспензій; можуть використовуватись для покращання біопридатності АФІ, що є субстрактами р-глікопротеїнів. П. є ефективними емульгаторами типу о/в і при поєднанні з ПАР гідрофобного характеру їх стабілізувальна дія значно підвищується. Проте вони взаємодіють з антимікробними консервантами, знижуючи їх ефективність; несумісні з фенолом, саліцилатами.
П. також широко використовують в косметиці та виробництві харчових продуктів.
Жогло Ф., Возняк В., Попович В. та ін. Допоміжні речовини та їх застосування в технології лікарських форм. — Львів, 1996; Сарафанова Л.А. Пищевые добавки: Энциклопедия. — СПб., 2004; Blanchard J. Effect of polyols on interaction of paraben preservatives with polysorbate 80 // J. Pharm. Sci. — 1980. — № 69; Handbook of Pharmaceutical Excipiets / Edit by R.C. Rowe, P.J. Sheskey, S.C. Owen. — London–Chicago, 2006.

