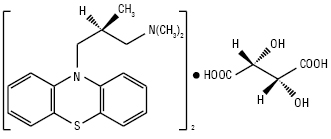
АЛІМЕМАЗИНУ ТАРТРАТ (Alimemazini tartras), (RS)-диметил(2-метил-3-фенотіазину-10-ілпропіл)аміну гідроген (2R,3S)-2,3-дигідроксибутандіоат.
(С18Н22N2S)2,C4H6O6 Мол. м. 747,0

АФІ синтетичного походження. Білий або ледь кремовий порошок без запаху або майже без запаху. При потраплянні на світло темніє. Легкорозчинний у воді і хлороформі, помірнорозчинний в етанолі, дуже малорозчинний в ефірі. Tпл 159–163 °С. УФ-спектр: λmax=255 нм (A1%1 см=0,70), λmax=301 нм в суміші 5 М розчину аміаку і метанолу, λmax=305 нм (A1%1 см=112), λmax = 254 нм (A1%1 см=840) в метанолі, λmax=300 нм (A1%1 см=99), λmax=251 нм (A1%1 см=760) в 0,1 М розчині кислоти хлористоводневої. Зберігають у захищеному від світла місці.
Ідентифікують за ІЧ-спектром поглинання субстанції; УФ-спектр розчину речовини в суміші 5 М розчину аміаку і метанолу має два максимуми 255 нм (A1%1 см=0,70) і λmax=301 нм; за реакцією з розчином формальдегіду у присутності кислоти сірчаної концентрованої (пурпурне забарвлення); тартрати визначають за реакцією з розчином амонію метаванадату (оранжево-червоне забарвлення). Кількісно визначають методом ацидиметрії у неводному (кислота оцтова безводна) середовищі (індикатор кристалічний фіолетовий).
Фармакологічна група. N05AA — нейролептичні препарати.
Фармакологічні ефекти. Антипсихотична (помірна), седативна, протитривожна, протиблювотна, спазмолітична дія, помірна адреноблокувальна, антихолінергічна, протикашльова, антигістамінна та снодійна дія.
Застосування. Невротичні, неврозоподібні стани і психопатії, тривожно-депресивні стани у межах пограничних ендогенних і судинних захворювань головного мозку, застосовується в дитячій та геронтологічній практиці, при порушеннях сну різного генезу (див. Психоз).
Літ.: Компендиум 2015 — лекарственные препараты / Под. ред. В.Н. Коваленко. — К., 2015; Машковский М.Д. Лекарственные средства. — М., 2000. — Т. 1; От субстанции к лекарству / Под ред. В.П. Черных. — Х., 2005; Clarke’s isolation and identification of drugs / Ed. A.C. Moffat. — London, 1986; The Merk index an Encyclopedia of chemicals, drugs and biological. 13 Ed., A, 2001.
