ПОВЕРХНЕВО-АКТИВНІ РЕЧОВИНИ (ПАР) — речовини, які знижують міжфазний натяг. У більш вузькому розумінні — це речовини, що знижують поверхневий натяг води (див. Поверхневий натяг). Якщо з об’ємної фази на межі поділу адсорбується тільки одна ПАР, тоді зв’язок між гіббсівською адсорбцією ГПАР, поверхневим натягом σ та хімічним потенціалом ПАР в об’ємній фазі μПАР подається фундаментальним адсорбційним рівнянням Гіббса у простій формі:
, (1)
з якого випливає, що зниження значення σ є рушійною силою фізичної адсорбції.
Найбільш поширеним різновидом є дифільні ПАР, тобто сполуки, молекули яких містять гідрофільну та гідрофобну частини, напр. спирти загальної формули H2n+1Cn–OH. Великі розміри гідрофобної частини (вуглеводневого радикала) зумовлюють значну поверхневу активність ПАР, тобто її здатність адсорбуватися на межі поділу фаз (напр. на поверхні води). При досить високих концентраціях ПАР повністю заповнює поверхню води, причому виникає так званий частокіл Ленгмюра — найщільніша упаковка вуглеводневих радикалів, яким уже не вистачає місця на поверхні води; гідрофільні частини молекул ПАР занурені у воду (рис. 1).

Рис. 1. Будова мономолекулярного шару ПАР на поверхні води: а) при адсорбції з дуже розбавленого розчину ПАР; б) при повному заповненні моношару
Гідрофільною частиною молекули ПАР можуть бути також іонні групи, такі як –SO3–Na+ або –NH3+Cl–, що дисоціюють у воді подібно до звичайних електролітів. Коли довжина вуглеводневого ланцюга досягає 7 або 8 атомів C, молекули (іони) ПАР здатні при певній концентрації об’єднуватися в агрегати, що називаються також кластерами, роями, ансамблями, асоціатами, а частіше за все міцелами (від лат. mica — крихта), які складаються з десятків, сотень або навіть тисяч мономерних молекул (іонів). Відбувається це тільки після досягнення деякої порогової концентрації, так званої критичної концентрації міцелоутворення (ККМ). Найбільш широко застосовують ПАР з вуглеводневими ланцюгами від С12 до C16. Згідно з визначенням, прийнятим IUPAC, ККМ — це порівняно вузький інтервал концентрацій, що вказує межу, нижче якої міцели практично не виявляються, а вище — практично вся ПАР, що додається у розчин, утворює міцели. Доказом утворення міцел ПАР є вигин залежностей властивість — концентрація. Як властивості розчину можуть бути використані питома і молярна електрична провідність, поверхневий натяг, мутність, осмотичний тиск, показник заломлення та інші (рис. 2).

Рис. 2. Залежність фізико-хімічних властивостей водного розчину ПАР від концентрації ПАР: λ — молярна електрична провідність; n — показник заломлення світла; τ — мутність; π — осмотичний тиск; δ — поверхневий натяг
Відомі десятки методів визначення ККМ, і для певної ПАР різні методи при їх умілому застосуванні дають приблизно однакові значення ККМ. Зазвичай значення ККМ досить мале; вже при концентрації 0,01–0,001 моль/л у водних розчинах багатьох колоїдних ПАР існують міцели. Виникнення міцел у розчинах можна розглядати і як створення нової фази (так званої мікрофази, або псевдофази, оскільки на відміну від макроскопічних фаз міцели не є однорідними і містять обмежену кількість атомів), і як комплексоутворення:
Nагр (ПАР)
МІЦЕЛА. (2)
Кількість мономерів ПАР, зв’язаних у міцелу, називається числом агрегації (Nагр). Для міцел, що утворюються поблизу ККМ, Nагр зазвичай становить від 20–30 до 100–200, але іноді досягає декількох тисяч. Подовження вуглеводневих радикалів іонних ПАР сприяє зростанню значень Nагр., оскільки таким шляхом досягається екранування гідрофобної частини від води. Так, для н-C10H21N(CH3)3+Br– Nагр становить 36, а для н-C16H33N(CH3)3+Br– — 169. Оскільки міцелярні розчини, що самочинно утворюються у воді внаслідок об’єднання мономерів ПАР (молекул, іонів), є дисперсними системами, такі ПАР називаються колоїдними. Внаслідок здатності утворювати асоціати такі речовини називаються також асоціативними, або самоасоціюючими ПАР. Крім того, вони також адсорбуються на різних поверхнях, знижуючи, зокрема, значення поверхневого натягу води з 0,07 до 0,03–0,04 Дж/м2 (тому їх іноді називають тензидами, від англ. tension — натяг). Завдяки своїм сильно вираженим миючим властивостям ці ПАР називаються також детергентами (див. Детергенти). ПАР з недостатньо довгим вуглеводневим радикалом не утворюють у водному розчині міцел, тому до колоїдних ПАР не належать. Розчинність ПАР з великою довжиною вуглеводневого ланцюга (18 і більше атомів C) у воді дуже низька, і при нанесенні їх у вигляді розчину в органічному розчиннику на поверхню води вони утворюють на межі поділу вода/повітря нерозчинні моношари (плівки). Міцелярні розчини колоїдних ПАР у воді за сучасною термінологією належать до так званих організованих розчинів; за класифікацією, прийнятою в колоїдній хімії, вони належать до ліофільних дисперсних систем. Загальноприйнято вважати ліофільними (якщо дисперсійним середовищем є вода, вони називаються гідрофільними) такі дисперсні системи, що утворюються самочинним диспергуванням (∆Gдисп <0). Такі дисперсні системи знаходяться в стані термодинамічної рівноваги, є термодинамічно стійкими, тому вони повинні бути оборотними; напр., якщо після випаровування розчинника його буде додано в тій же кількості, то дисперсна система, що знову виникла, нічим не буде відрізнятися від первинної (див. Дисперсні системи).
У водному розчині навколо довгого вуглеводневого радикала ПАР відбувається ущільнення ажурної структури води й утворюється «льодоподібна» ділянка, що супроводжується зниженням ентропії (∆S <0; гідрофобна гідратація). При об’єднанні мономерів ПАР у міцели молекули води звільняються, і ентропія зростає (∆S >0). Отже, рушійною силою утворення надмолекулярних структур (асoціaтів ПАР, міцел) є так звані гідрофобні взаємодії, які мають ентропійну природу. У міцелах гідрофобні вуглеводневі радикали «приховані» (екрановані) від води і сольватують один одного. Порції ПАР, що далі додаються у розчин, йдуть на утворення нових міцел, а в ряді випадків і на укрупнення вже існуючих. Міцела, що виникла при цьому, становить «краплю масла» (вуглеводневі радикали), оточену гідратованою оболонкою з гідрофільних груп. Для кожної ПАР є оптимальне значення Nагр, що забезпечує добре екранування гідрофобних радикалів від води [рівняння (2)]. Саме тому міцелоутворення відбувається не ступенево, а кооперативно (колективно). Можна дещо спрощено уявити собі, що виникають одразу досить великі асоціати, і застосування закону діючих мас до рівняння (2) дозволяє передбачити стрибкоподібну появу міцел при певній загальній концентрації ПАР (тобто при ККМ). Якщо для міцелоутворення прийняти псевдофазну модель і використати замість активності концентрації, то:
Gміц = RT ln (ККМ). (3)
Так, середню оцінку теплового ефекту міцелоутворення на даному інтервалі температур при постійному тиску можна отримати за допомогою рівняння, що випливає з рівняння Вант-Гоффа:
![]()
На початковій стадії міцелоутворення, при концентраціях близьких до ККМ, міцели зазвичай сферичні, а колоїдна система практично монодисперсна. При більш високих концентраціях ПАР можливі ріст міцел і зміна їх форми. Молекули або іони ПАР, з яких складаються міцели, знаходяться у стані динамічної (рухомої) рівноваги з мономерами ПАР у водній фазі; час обміну іонами між міцелою і водною фазою становить не більше 10–5 с. Оскільки міцели, що самочинно утворюються такими ПАР у розчинах середніх концентрацій, зазвичай мають розміри порядку декількох нанометрів, такі системи можна віднести до ультрамікрогетерогенних дисперсій. При цьому виявляють головні ознаки колоїдного стану: гетерогенність і висока дисперсність. Крім здатності виникати шляхом самочинного диспергування, в даному рідкому середовищі є інший критерій ліофільності, запропонований П.О. Ребіндером і Є.Д. Щукіним. Враховуючи те, що самочинне відщеплення від макрофази частинок лінійного розміру d можливе, якщо затрачена на утворення нової поверхні розділу фаз робота компенсується виграшем енергії за рахунок участі частинок, що утворюються в тепловому русі, можна одержати таке співвідношення:
d2σ ≤ βkБT, (5)
де kБ — постійна Больцмана; Т — абсолютна температура; β — певний чисельний коефіцієнт, який враховує форму частинок. Самочинне диспергування стає можливим при зниженні питомої вільної поверхневої енергії нижче певного критичного значення, застосування критерію Ребіндера — Щукіна для частинок ліофільних дисперсій з розмірами міцел та мікрокраплинок мікроемульсій (див. нижче) приводить до значень σ ≈10–5 Дж/м2. Така незначна надлишкова поверхнева енергія й пояснює високу стабільність систем. Справді, у той час як гідрофобні дисперсні системи руйнуються (коагулюють) під дією дуже малих домішок електролітів, гідрофільні системи можна висолювати з розчину лише під дією великих концентрацій солей (див. Коагуляція, Висолювання високомолекулярних сполук).
Колоїдні ПАР мають декілька різновидів з певними типовими властивостями. Якщо носієм поверхневої активності є довголанцюговий аніон, такі ПАР називаються аніонними, або аніоноактивними, а якщо катіон — катіонними, або катіоноактивними. Існує багато аніонних ПАР природного походження, з яких передусім потрібно відзначити мила, тобто натрієві або калієві солі жирних кислот, напр. олеат натрію (CH3(CH2)7CH = CH(CH2)7COO–Na+). Поверхнево-активні властивості мають також солі нафтенових кислот, що отримуються з нафти. У зв’язку з низькою розчинністю кальцієвих і магнієвих солей вищих жирних кислот їх застосування обмежене. Тому більшого поширення набули продукти сульфування вуглеводнів, передусім, алкілсульфонати, алкіларилсульфонати та алкілсульфати, напр. н-додецилсульфат натрію (н-C12H25OSO3–Na+). Відомі також алкілфосфати натрію. Існує велика кількість катіонних ПАР, головним чином, четвертинних амонієвих солей, таких як бромід н-додецил-триметиламонію та бромід цетилтриметиламоній (н-C16H33N(CH3)3+Br–), а також ПАР на основі піридинієвих, четвертинних фосфонієвих та інших солей. Крім аніонних і катіонних ПАР, відомий величезний клас неіонних (неіоногенних) ПАР. Їх гідрофільними частинами є не компактні іонні угруповання, а електронейтральні оксиетиленові ланцюжки:–(CH2–CH2–O)n–. У розчині ці ланцюжки утворюють клубки, зв’язуючи молекули води за рахунок водневих зв’язків, акцепторами яких є неподілені електронні пари атомів кисню; можливість конформацій оксиетиленового олігомеру зумовлює також і ентропійний чинник гідрофільності ланцюжка. Неіонні ПАР є поліоксиетиленовими похідними сполук з довгими вуглеводневими радикалами, напр. кислот (CnH2n+1(CO)O–(CH2CH2O)mH), спиртів (CnH2n+1O–(CH2CH2O)mH), алкілфенолів та алкілнафтолів. Синтез неіонних ПАР здійснюється шляхом оксиетилювання оксидом етилену C2H4O, тому їх іноді називають адуктами оксиду етилену. Такі препарати, як правило, є сумішшю гомологів з різним значенням m. Тому ступінь наближеності кожного з препаратів до індивідуальної речовини залежить від способу очищення. Дуже широко застосовуються такі неіонні ПАР, як «бридж 35», н-C12H25O(CH2CH2O)23Н, тритон Х 100 і твін 80:

Тритон Х 100

Твін 80
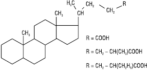
Твін 80 є поліетоксисорбітанмоноолеатом. Відомо багато інших неіонних ПАР схожої будови (твіни 20, 40, 60 тощо). До неіонних ПАР належать також так звані плюроніки — блокспівполімери оксидів етилену та пропілену (в останньому випадку гідрофобною частиною є ланцюги –CH(CH3)–CH2–O), тетроніки — блокспівполімери оксидів етилену та пропілену, які є похідними етилендіаміну та ін. Четвертий клас ПАР утворюють амфолітні та цвітеріонні ПАР, напр. алкіламінокарбонові кислоти, алкіламіноалкансульфонати та алкіламіноалкансульфати, сульфобетаїни, напр. цетилдиметиламоній-пропансульфонат (н-C16H33N(CH3)2+–(CH2)3–SO3–), похідні алкілімідазолінів, алкілдиметиламіноксиди, напр. н-C12H25N(CH3)2+ — O–. Досить поширені фторовмісні сполуки (фторування вуглеводневого радикала підвищує гідрофобність і знижує значення ККМ). До ПАР належать жовчні кислоти та їх солі (холати). Жовчні кислоти є похідними природної холанової кислоти (R=COOH). Вони синтезуються здебільшого у печінці деяких птахів, ссавців та людини з холестерину:

Жовчні кислоти застосовуються в синтезі кортикостероїдів та як ЛП для розчинення й профілактики виникнення жовчних каменів. Своєрідними ПАР є також фосфоліпіди та сапоніни.
Значення ККМ залежить від природи полярної групи і від будови вуглеводневого радикала, передусім, від його довжини. Напр., для сполук н-C8H17N(CH3)3+Br– та н-C16H33N(CH3)3+Br– значення ККМ при 298 К дорівнюють відповідно 0,34 і 0,0009 моль/л. У довідковій літературі наводиться декілька тисяч значень ККМ. Існує залежність між довжиною вуглеводневого радикала і значенням ККМ:
lg (ККМ) = A — Bn. (6)
Для більшості іонних ПАР (як катіонних, так і аніонних) А зазвичай становить 1,5–1,9, В 0,3. Міцелоутворення в розчинах іонних ПАР стає можливим лише при температурі, вищій за певну критичну, порогову. Ця температура називається точкою Крафта (ТKp), але фактично йдеться про вузьку ділянку температур (рис. 3).

Рис. 3. Залежність розчинності іоногенної ПАР від температури
При досягненні ТKp створюються умови для міцелоутворення, за рахунок якого лінія розчинності (BC) різко, майже вертикально, підіймається вгору. У той же час збільшення значення ККМ (мономерної розчинності) з підвищенням температури зовсім не таке велике (ABB‘). Таким чином, ділянка I відповідає існуванню твердої ПАР чи її кристалогідратів, II — ділянка міцелярного розчину, а III — ділянка істинного розчину, в якому ПАР існує у вигляді окремих іонів. Зверху ділянка розчинності (ABCD) обмежена ділянкою існування кристалогідратів в умовах дефіциту води. Практично це означає, що при температурах, які перевищують ТKp навіть на декілька градусів, майже будь-яка кількість іонної ПАР переходить у розчин. Різке підвищення розчинності при Т >ТKp пов’язане з тим, що за цих умов уже починається міцелоутворення. При температурі, нижчій за ТKp, у водному розчині немає передумов для утворення міцел (очевидно, ентропійна складова ще не забезпечує достатнього внеску в енергію Гіббса міцелоутворення); при досягненні ТKp створюються умови для виникнення міцел. Чим коротший вуглеводневий радикал іонного ПАР, тим вища розчинність і нижча ТKp, і чим довший радикал, тим вища ТKp. Так, для ПАР н-C12H25OSO3–Na+ і н-C14H29OSO3–Na+ значення ТKp дорівнюють відповідно 289 К і 303 К. Для неіонних ПАР існування ТKр не характерне. Більшість із цих речовин при кімнатній температурі є рідинами і без обмежень змішуються з водою. Значення ККМ у них зазвичай настільки малі, що виявляються меншими за розчинність неіонних ПАР у воді. Підвищення температури ослаблює гідратацію оксіетиленових груп, що сприяє укрупненню міцел, і при певній температурі настає помутніння, а потім і розділення фаз. Ця температура називається точкою помутніння. Додавання індиферентних електролітів (напр. NaCl) до водних розчинів іонних ПАР суттєво знижує значення ККМ, але у разі неіонних ПАР цей вплив незначний.
Вважається, що цілком термодинамічно стійкими колоїдно-дисперсними системами є лише міцелярні розчини колоїдних ПАР і мікроемульсії, що є їх різновидом, а також молекулярні розчини ВМС у «добрих» розчинниках. Розчини ВМС у «добрих» розчинниках — це так звані молекулярні колоїди. На відміну від «істинно колоїдних», ці системи є істинними молекулярними розчинами, однофазними, термодинамічно стійкими й оборотними. Однак величезні розміри макромолекули (мол. м. ВМС становить зазвичай від ~104 до ~106) зумовлюють схожість цілої низки властивостей таких молекул у розчинах з властивостями частинок дисперсної фази. Хоча внаслідок теплового руху конформації скрученої нитки весь час змінюються, в середньому клубок має форму видовженого еліпсоїда обертання. Молекулярний клубок нещільний, і розчинник проникає всередину (рис. 4).

Рис. 4. Молекулярний клубок ВМС у розчині
Прикладом молекулярних колоїдів можуть служити водні розчини природних ВМС: полісахаридів, желатину та інших білків, ДНК і РНК. До молекулярних колоїдів належать і розчинні природні та синтетичні поліелектроліти — ВМС, макромолекули яких містять іоногенні групи, здатні в розчинах дисоціювати на іони. Залежно від природи іоногенних груп поліелектроліти можна поділити на три типи: полікислоти (містять кислотну групу, напр. –COOH), поліоснови (містять основну групу, напр. –NН2) і так звані поліамфоліти (містять одночасно і кислотну, і основну групи). Унаслідок дисоціації виникають полііони, що містять, напр. групи –COO– (гуміарабік, алгінати, розчинний крохмаль), групи –OSO3– (агар), групи –NH3+ (у природі не зустрічаються, але можуть бути синтезовані). Сполуки, що утворюють у розчині полііони, називають інколи іоненами. Поліамфоліти можуть містити одночасно, напр. групи –COO– і –NH3+. Серед синтетичних поліелектролітів можна назвати поліакрилову, полістиролсульфонову кислоти і поліетиленімін. За здатністю функціональних груп дисоціювати в розчині розрізняють також сильні та слабкі поліелектроліти. Водні розчини поліелектролітів являють собою найважливіший окремий випадок істинних розчинів ВМС у воді. Типовими представниками поліамфолітів є білки; схематично фрагмент білкової молекули можна подати як +H3N–П–COO–, де П — поліпептидний ланцюг (див. Розчини високомолекулярних сполук).
Міцели ПАР можуть мати різну структуру. На початковій стадії міцелоутворення у водному розчині при концентраціях поблизу ККМ утворюються сферичні міцели однакових розмірів. Напр., для міцел н-додецилсульфату натрію Nагр становить близько 60, а радіус — два нанометри. На рис. 5 наведено будову типової міцели на прикладі аніонної ПАР; наявність поверхневого заряду забезпечує значну гідратацію міцел. Товщина щільної частини подвійного електричного шару (ділянки Штерна), де 50–80% іонів ПАР нейтралізовані протиіонами, становить частки нанометрів, а дифузна частина тягнеться в глибину безперервної водної фази на десятки нанометрів.

Рис. 5. Сферична міцела іонної ПАР (у розрізі, схематично), мономерні іони ПАР та протиіони
Класична модель Хартлі трактує міцелу колоїдної ПАР як «сферичну краплю масла» у гідрофільній оболонці. Але це справедливо лише у першому наближенні. Хоча рідким вуглеводням узагалі властива певна впорядкованість, рідкий стан вуглеводневих радикалів у міцелі відрізняється від стану об’ємної рідкої фази, характерного, напр., для краплі емульсії. Завдяки орієнтації полярних груп вуглеводневі хвости частково фіксовані, і вся міцела знаходиться в рідкокристалічному стані, подібно до рідких плівок. У сучасній літературі утвердилося уявлення про міцели як про сильно розупорядковані та гідратовані пористі кластери.
Будова сферичної міцели неіоногенної ПАР наведена на рис. 6. Вуглеводневі радикали розташовані радіально, а гідрофільна частина становить «мантію» з сильно скручених оксіетиленових ланцюжків (–CH2–CH2–О–)n. Переплетення й скручування оксіетиленових ланцюжків найбільш вигідно для взаємодії з водою, передусім, за рахунок водневих зв’язків, утворених атомами водню води з атомами кисню оксіетиленового ланцюжка.

Рис. 6. Міцела (у розрізі, схематично) та мономер неіонної ПАР
Експериментально доведено, що форма міцел колоїдних ПАР буває не тільки сферичною («міцели Хартлі», рис. 7а), але й пластинчастою або дископодібною («міцели Мак-Бена», рис. 7б) і паличкоподібною, або стрижнеподібною, або циліндричною («міцели Дебая», рис. 7в). Крім трьох основних типів, існують і проміжні. Усі ці типи міцел є різновидами надмолекулярних структур, результатом гідрофобної взаємодії.

Рис. 7. Поліморфізм міцел
Пластинчаста міцела — подвійний шар (бішар, або ламела, тобто пластинчаста структура) молекул або іонів ПАР, орієнтованих гідрофільними частинами у водну фазу. Вигинаючись, анізометричні міцели в розчині стають «червоподібними», або «стрічковими». Бішар може також скручуватися, перетворюючись на так звану везикулу (рис. 7г) — структуру, всередині якої зберігається вода. Однією з причин перетворення сферичних міцел на інші структури з явно вираженою асиметрією є взаємодія (відштовхування) дифузних частин подвійних електричних шарів. Крім того, завдяки когезійним взаємодіям в одно- і двомірнопротяжних структурах вуглеводневі ланцюги розташовуються паралельно один до одного, тобто більш упорядковано, ніж у сферичних міцелах. Така компактність створює можливості для розчинення нових порцій ПАР. Ділянку концентрацій, в якій відбувається перетворення сферичних міцел на анізометричні, часто називають другою критичною концентрацією міцелоутворення і позначають ККМ2. Підвищення концентрації колоїдних ПАР у воді зазвичай після стадії перетворення сферичних міцел на циліндричні та пластинчасті сприяє оборотному утворенню суцільних гелеподібних систем (див. Гелі):
Міцелярний розчин ПАР
гель. (7)
Крім концентрації ПАР, на ці переходи впливають температура, додавання електролітів і неелектролітів, а іноді й pH.
Важливою властивістю міцелярних розчинів ПАР у воді є їх здатність до солюбілізації (колоїдного розчинення) практично нерозчинних у воді речовин. Солюбілізацією називається самочинне розчинення міцелярною фазою ПАР речовин (твердих, рідких і газоподібних), практично нерозчинних за звичайних умов у дисперсійному середовищі, з утворенням термодинамічно стабільного ізотропного розчину. Напр., хоча розчинність октану у воді дуже низька (усього 0,0015%), вона зростає в тисячу разів у 10% розчині олеату натрію. Розчинність багатьох газів, у т.ч. О2 і CO2, у міцелярних розчинах ПАР помітно вища, ніж у воді. Солюбілізація відбувається в тому випадку, коли в розчині є міцели (сПАР > ККМ). Колоїдна ПАР у цьому випадку називається солюбілізатором, а колоїдно розчинена речовина — солюбілізатом. Міцелярні розчини колоїдних ПАР добре солюбілізують малополярні органічні сполуки. Залежно від природи солюбілізатів реалізуються різні способи розташування їх усередині міцели (рис. 8). Аліфатичні солюбілізати розташовуються всередині «масляної краплі», в ділянці вуглеводневих «хвостів», ароматичні — як усередині міцел, так і поблизу поверхні.

Рис. 8. Різні варіанти розташування солюбілізатів у міцелах ПАР (схематично)
Солюбілізація є однією з ланок обміну речовин у живих організмах. Вирішальну роль у засвоєнні жирів відіграють найбільш типові біологічні ПАР — жовчні кислоти. Солюбілізація широко застосовується у фармації. Особливо зручні неіонні ПАР, багато з яких є цілком безпечними для організму. Вони використовуються для солюбілізації вітамінів, масел, барбітуратів, аспірину, що дозволяє створити різні форми цих і багатьох інших речовин, які добре засвоюються організмом. Інколи термін «солюбілізація» застосовується у більш широкому розумінні, напр., коли йдеться про підвищення розчинності у воді досить гідрофобних сполук за рахунок комплексоутворення з циклодекстринами та іншими органічними речовинами. Для різноманітних класів органічних сполук існують кореляції між їх здатністю зв’язуватися міцелами ПАР та константою розподілу в двофазній системі вода/октанол-1. Бензол, толуол, гексан, октан та інші вуглеводневі розчинники солюбілізуються міцелами ПАР досить добре, і набухлі міцели завдяки масляній «начинці» вже починають нагадувати емульсії; такі дисперсії, все ще ліофільні, називають мікроемульсіями. Термодинамічна стійкість їх досягається за рахунок великої кількості ПАР; оптимальним є використання суміші ПАР зі спиртами, обмежено розчинними у воді (зазвичай з н-бутанолом або н-пентанолом). Розміри сферичних частинок таких мікроемульсій можуть бути на порядок більшими за розміри сферичних міцел ПАР. Співвідношення гідрофільної та гідрофобної частин повинні визначати поведінку ПАР у розчинах. Найбільш поширеною характеристикою гідрофільно-гідрофобного (гідрофільно-ліпофільного) балансу є числа, що відображають здатність даної ПАР до емульгування прямих і обернених емульсій (олія/вода і вода/олія відповідно) (див. Емульсії). Ця шкала була запропонована півстоліття тому У. Гріффіном, який обчислював значення гідрофільно-ліпофільного балансу як частку гідрофільної частини молекули ПАР від загальної молекулярної маси, виражену в % і поділену на 5. Згодом були розроблені методики експериментальної оцінки гідрофільно-ліпофільного балансу методами ядерного магнітного резонансу й газорідинної хроматографії. Дж. Девіс припустив, що внески різних функціональних груп у значення гідрофільно-ліпофільного балансу адитивні, і знайшов відповідні «групові числа» з даних про швидкість руйнування прямих і зворотних емульсій (таблиця).
Таблиця. Групові числа гідрофільно-ліпофільного балансу (ГЛБ)
| Група | ГЛБ |
| –O–SO3Na | 38,7 |
| –COOK | 21,1 |
| –COONa | 19,1 |
| –COOH | 2,1 |
| –OH | 1,9 |
| –O– | 1,3 |
| –CH3 | –0,475 |
| –CH2– | –0,475 |
| =CH– | –0,475 |
| —СН— | |
–0,475 |
| –CH2–CH2–O– | 0,33 |
Підсумкове значення гідрофільно-ліпофільного балансу для ПАР з n-метиленовими та метильними групами обчислюється за формулою:
ГЛБ = 7 — 0,475n + ΣΣ(ГЛБ)гідрофільн (8)
На основі цих даних розробляються оптимальні рецептури емульгаторів, причому відповідне «масло» теж характеризується певним значенням гідрофільно-ліпофільного балансу. Індивідуальні ПАР або суміші ПАР з невеликими значеннями гідрофільно-ліпофільного балансу (4–6) стабілізують зворотні емульсії, а з відносно високими значеннями (8–18) — прямі. Для олеїнової кислоти гідрофільно-ліпофільного балансу становить 1, для бриджу 35 — 10,8, для олеату натрію — 18, а для додецилсульфату натрію — 40.
Особливе місце серед ліофільних дисперсій посідають асоціати, утворені фосфоліпідами. Зазвичай під ліпідами мають на увазі ПАР підвищеної гідрофобності, з яких, зокрема, побудовані природні клітинні мембрани. Типовим прикладом є фосфоліпіди типу фосфатидилхолінів (лецитинів), напр. дистеарилфосфатидилхолін — ПАР з двома вуглеводневими хвостами:

Відома велика кількість природних фосфоліпідів, виділених з біомембран. У воді фосфоліпіди самочинно асоціюють, причому через наявність двох вуглеводневих ланцюгів значення ККМ невеликі (іноді близько 10–9 моль/л). ПАР з двома вуглеводневими радикалами властиво утворювати головним чином пластинчасті міцели, бішари і везикули. Самочинне утворення бішарів фосфоліпідів здійснюється шляхом їх набухання у воді. Внаслідок цього виникають замкнені частинки розміром у декілька мікрон, що складаються з ряду концентричних ліпідних бішарів, розділених тонкими (1,5–2 нм) прошарками води. Ці частинки, які називаються мультиламелярними ліпосомами, утворюють мутнувату «мембранну суспензію» і при обробці ультразвуком розпадаються на моноламелярні ліпосоми, що являють собою бульбашки.
Нижче певної температури, яку можна розглядати як температуру фазового переходу, бішари фосфоліпідів твердіють, переходячи у гелеподібний стан. Для одних фосфоліпідів ця температура вища за кімнатну, а для інших — навіть <0 °С. Синтетичні, а також виділені з клітин фосфоліпіди у воді самочинно утворюють замкнені системи — мембрани. Синтетичні мембрани за багатьма властивостями нагадують природні. Знання властивостей мембран необхідне як для пояснення різних біохімічних процесів, так і для розвитку спеціальної сфери технології — мембранної. Колоїдні ПАР можуть утворювати міцелярні розчини не тільки у воді. В метанолі та деяких інших органічних розчинниках з відносно високою діелектричною проникністю теж можуть виникати міцели ПАР. Однак сольвофобні ефекти не такі сильні, як гідрофобні, тому процеси міцелоутворення не настільки виражені, як у воді. У малополярних розчинниках утворюються вже обернені міцели. У цьому випадку вуглеводневі хвости ПАР орієнтовані в бік безперервної фази, а гідрофільні групи утворюють внутрішню частину міцел, екрановану вуглеводневими радикалами від контакту з неводним середовищем. Важливою властивістю обернених міцел є їх здатність до зворотної солюбілізації, тобто до колоїдного розчинення води. Молекули води локалізуються в гідрофільній частині міцел, що сприяє набуханню останніх. Особливо ефективно здатні солюбілізувати воду обернені міцели ди-(2-етилгексил)-сульфосукцинату натрію:

Обернені міцели цієї ПАР в інших малополярних розчинниках можуть солюбілізувати до 50 молів води на один моль ПАР. При цьому у міру зростання співвідношення вода/аерозоль ОТ числа агрегації ПАР зростають до декількох сотень, а число молекул води, солюбілізованих в одній мікрокраплині, сягає декількох тисяч. Виникаючі таким чином в малополярному розчиннику найдрібніші частинки («калюжі») води утворюють обернену мікроемульсію (рис. 9).

Рис. 9. Обернені міцели (а) та обернені мікроемульсії (б)
Важливим є каталіз ферментами, включеними до складу обернених міцел ПАР, оскільки це явище можна розглядати, за І.В. Березіним, як модель ферментативного каталізу. Якщо в обернених міцелах та мікроемульсіях проходять різноманітні хімічні реакції, що приводять до створення твердої фази, то внаслідок обмеженого реакційного простору виникають частинки нанометрових розмірів — так звані наночастинки. Таким чином, міцели та мікроемульсії використовуються зараз у нанотехнологіях як нанореактори. Обернені міцели та гелі фосфоліпідів набули останнім часом великого значення для фармації та косметології.
Однією з найважливіших сфер застосування колоїдних ПАР є використання їх як мийних засобів. Звичайні забруднення, які осідають на поверхні волокон тканин, — це багатокомпонентна суміш рідких (маслянистих) і/або твердих (пил, кіптява) речовин, що утворюють іноді дуже структуровану систему. Як мийні засоби (детергенти) використовуються мила — натрієві та калієві солі жирних карбонових кислот та інші аніонні ПАР того ж типу. Однак у кислому середовищі ці солі перетворюються на малорозчинні карбонові кислоти, а в жорсткій воді в осад випадають кальцієві та магнієві солі карбонових кислот. Тому більш універсальними й ефективними засобами для прання виявилися алкілсульфати та алкілсульфонати, що є основою пральних порошків. Добрими детергентами є сполуки з 10–18 атомами C у вуглеводневому радикалі, тобто саме ті ПАР, яким властиві висока поверхнева активність і здатність до міцелоутворення. Основні чинники, які зумовлюють мийну дію таких ПАР: 1) забезпечення доброго змочування поверхонь тканини мийною рідиною, зокрема, проникнення води в тонкі капіляри за рахунок зниження значення поверхневого натягу води при додаванні ПАР; 2) молекули (іони) мила, адсорбуючись на поверхні волокна і твердих та рідких частинках забруднень, формують добре гідратований адсорбційний шар. Це створює передумови для відривання від поверхні волокна частинок бруду й подальшого їх подрібнення. При цьому вибіркове змочування волокон тканини призводить до «відтиснення» масляних забруднень із поверхні, яка очищається; 3) диспергувальна дія ПАР зводиться до надання агрегативної стійкості твердим і рідким (масляним) частинкам бруду, які відірвалися від поверхні, тобто до суспендування й емульгування; 4) іонні колоїдні ПАР є ефективними піноутворювачами, які стабілізують піну. Пінення сприяє як механічному винесенню, так і флотації забруднень; 5) забруднення масляного характеру можуть солюбілізуватися всередині міцел ПАР. Хоча механізми мийної дії різноманітні, всі вони зумовлені високою поверхневою активністю колоїдних ПАР, що виявляється у високій адсорбційній здатності, а також дифільністю, яка створює умови для міцелоутворення. У синтетичних мийних засобах вміст ПАР становить менше половини маси. Здебільшого це алкілсульфати, а також неіонні ПАР (оксіетильовані спирти) і невелика кількість алкіламінів. У таких системах утворюються змішані міцели, що складаються з ПАР різних типів. Іншу частину маси складають різні добавки, які поліпшують миючий вплив колоїдних ПАР. Синтетичні миючі засоби випускаються в промисловості у вигляді порошків або паст. Склад тих або інших миючих засобів визначається передусім метою і завданнями відмивання. Знежирення поверхні, що очищується, небажане, якщо мова йде про косметичні мила. Катіонні ПАР використовуються як ефективні бактерицидні засоби, напр., для відмивання казанів та інших ємностей на підприємствах громадського харчування, для дезінфекції лікарняних приміщень тощо (див. Детергенти).
Виготовлення мийних засобів є важливою, але зовсім не єдиною сферою застосування колоїдних ПАР. Адсорбуючись на межах поділу фаз, ПАР модифікують їх. На цьому базуються такі явища і процеси, як диспергування твердих тіл, стабілізація золів, суспензій, а також пін і емульсій, флотація, регулювання змочування твердих поверхонь, зокрема поліпшення або погіршення змочування поверхонь водою (ліофілізація або ліофобізація відповідно), регулювання структуроутворення в дисперсних системах (див. Дисперсні системи, Змочування, Ребіндера ефект). Міцели колоїдних ПАР, а також краплі мікроемульсій можуть впливати на перебіг різних хімічних реакцій. Однією зі сфер застосування колоїдних ПАР є так званий міцелярний каталіз. Зазвичай реакції відбуваються на поверхні міцел. Найважливішим для промисловості виявом міцелярного каталізу є емульсійна полімеризація. Так, штучним шляхом відбувається утворення латексу; коагуляцією латексу отримують штучний каучук, з якого в промисловості виготовляють безліч виробів. Широко застосовуються колоїдні ПАР у поліграфії, при пожежогасінні з метою піноутворення, у лакофарбовій, харчовій, фармацевтичній і парфумерній промисловості (див. Детергенти). Штучна кров — мікроемульсія фторовуглеців, стабілізована плюроніками. Надзвичайно важливими є колоїдні ПАР і споріднені з ними сполуки для біотехнології. ПАР застосовують у багатьох хроматографічних методах: у міцелярній рідиннофазній хроматографії, ТШХ, для модифікації нерухомої фази в обернено-фазній ВЕРХ. Мікрокапсулювання різних речовин — покриття дрібних частинок порошку або крапель тонким шаром непроникної або обмежено проникної захисної оболонки — застосовується у фармації, сільському господарстві, а також для зберігання рідкого палива у брикетах. Явище базується на здатності ненасичених ПАР до полімеризації; плівки, утворені ВМС, у певному значенні близькі до мембран клітин. Шляхи мікрокапсулювання — адсорбція ВМС на поверхні або коацервація. Потім плівки обробляються дубителем при певній температурі та pH для надання твердоподібних властивостей. Для створення таких плівок використовуються желатин, альбумін, полівініловий спирт, полісахариди, похідні целюлози.
При роботі з колоїдними ПАР необхідно пам’ятати про ту шкоду, яку вони можуть заподіяти шкірі та органам дихання. Необхідно, щоб ПАР, які пропонуються для використання у великій кількості, і супутні їм компоненти мали високу здатність до біорозкладання для запобігання шкоди навколишньому середовищу. Так, виявилося, що поліфосфат натрію, який додають у синтетичні мийні засоби для пом’якшення води і надання агрегативної стійкості частинкам бруду, сприяє розмноженню у водоймах синьо-зелених водоростей. Катіонні ПАР є загалом більш токсичними, ніж аніонні й неіоногенні, вони використовуються як антисептики. У всіх випадках гірше розкладаються ПАР з розгалуженими вуглеводневими радикалами, ніж з лінійними.
Абрамзон А.А. Поверхностно-активные вещества. — Л., 1981; Куликов А.Ю., Логинова Л.П., Самохина Л.В. Мицеллярная хроматография в фармацевтическом анализе и других областях анализа (обзор) // Фармаком. — 2004. — Вып. 1; Курський М.Д., Кучеренко С.М. Біомембранологія. — К., 1993; Ланге К.Р. Поверхностно-активные вещества. Синтез, свойства, анализ, применение. — СПб., 2005; Плетнев М.Ю. Косметико-гигиенические моющие средства. — М., 1990; Поверхностно-активные вещества: Справочник / Под ред. А.А. Абрамзона, Г.М. Гаевого. — Л., 1979; Русанов А.И. Мицеллообразование в растворах поверхностно-активных веществ. — СПб.,СПб., 1992; Химическая энциклопедия. — М., 1992; Холмберг К., Йенссон Б., Кронберг Б. и др. Поверхностно-активные вещества и полимеры в водных растворах. — М., 2007; Шинода К., Накагава Т., Тамамуси Б. и др. Коллоидные поверхностно-активные вещества: Пер. с англ. — М., 1966; Corrigan O.I., Healy A.M. Surfactants in Pharmaceutical Products and Systems. In: Encyclopedia of Pharmaceutical Technology. — Marcel Dekker, 2002; Ibid. Myrdal P.B., Yalkowsky S.H. Solubilization of Drugs in Aqueous Media.
