ПІРОЛІДОН-2 (грец. pyr — вогонь) (лактам γ-аміномасляної кислоти); Тпл =24,5 °С, Ткип =245 °С, мол. м. 85,07; безбарвна або жовтувата в’язка рідина (І).

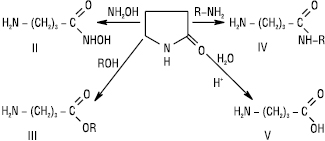
Реакції П., які відбуваються з розкриттям циклу, спричиняють утворення похідних γ-аміномасляної кислоти (кислотний та лужний гідроліз, взаємодія з амінами, спиртами) (ІІ–V):

П. проявляє властивості циклічних вторинних амінів: вступає у реакції ацилювання, алкілування, нітрозування (VI–VIII):

П. реагує з ацетиленом і утворює N-вінілпіролідон-2 (ІХ):

П. вступає в реакції відновлення (Х) і окиснення (ХІ):

Отримують П. в умовах амонолізу гідрогенізацією сукциніміду, внаслідок внутрішньомолекулярної циклізації амінокислот, їх естерів та ін.
N-полівінілпіролідон застосовують як замінник плазми крові Гемодез, П. використовують також як пластифікатор пластмас.
Общая органическая химия: В 12 т. / Под общ. ред. Д. Бартона и У.Д. Оллиса. Т. 4. Карбоновые кислоты и их производные. Соединения фосфора / Под ред. О.И. Сазерленда. — М., 1983.
