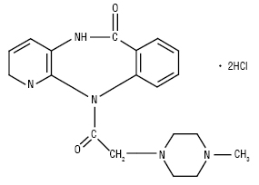
Пірензепін (Pirenzepinum), 5,11-дигідро-11-[4-метил-1-(піперазиніл)ацетил]-6Н-піридо[2,3-b][1,4] бензодіазепін-6-он дигідрохлорид.
С19H21N5O2, 2HCl Мол. м. 424,3

АФІ синтетичного походження. Білий порошок, малорозчинний у воді, практично нерозчинний в ефірі, легкорозчинний у метанолі. Тпл =248–253 ˚С; рКа =2,1; УФ-спектр: λmax=250 нм (
=257) в 0,1 М HCl; λmax=297 нм (
=282) в 0,1 М NaOH; ІЧ-спектр, см–1: 1665, 1703, 1318, 1301, 1278, 1593 (в KBr). Зберігають у захищеному від світла місці.
Ідентифікують за ІЧ-спектром поглинання субстанції; методом ВЕРХ, спектрофотометричним методом. Кількісно визначають алкаліметричним титруванням з потенціометричним фіксуванням кінцевої точки титрування.
Фармакологічна група. А02В Х03 — противиразкові препарати (блокатори М-холінорецепторів).
Фармакологічні ефекти. Має переважно периферичну антихолінергічну дію (селективний блокатор М1-холінорецепторів обкладових і основних клітин слизової оболонки шлунка). Знижує базальну і стимульовану секрецію соляної кислоти, пептичну активність шлункового соку, трохи знижує тонус гладких м’язів шлунка.
Застосування. При виразковій хворобі шлунка і дванадцятипалої кишки; ерозивно-виразкових ураженнях ШКТ; стресових виразках; хронічному гіперацидному гастриті, дуоденіті; ерозивному гастриті, езофагіті; рефлюкс-езофагіті; синдромі Золлінгера — Еллісона; кровотечах із ерозій та виразкових ушкодженнях у верхніх відділах ШКТ; пептичних виразках кишечнику.
Компендиум 2015 — лекарственные препараты / Под ред. В.Н. Коваленко. — К., 2015; От субстанции к лекарству / Под ред. В.П. Черных. — Х., 2005; Clarke’s isolation and identification of drugs/ Editor A.C. Moffat. — London, 1986; European Pharmacopoeia 5; The Merk index an Encyclopedia of chemicals, drugs and biological / 13 Ed, 2001. — № 1.
