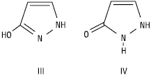
ПІРАЗОЛОН-5 — С3Н4N2О, мол. м. 84,08; безбарвна кристалічна речовина, при нагріванні сублімується (Тпл =165 °С), розчинна у воді та етанолі, поганорозчинна в ефірі, толуені, хлороформі та бензені. Теоретично може знаходитись у восьми таутомерних формах, практично виділені тільки чотири (I–IV):


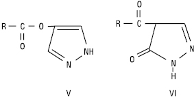
Форма III більш стійка, ніж II. У неполярних розчинниках переважають таутомери I і II, у полярних апротонних розчинниках — таутомер III, а в протонних розчинниках — III і IV. N-Заміщені П.-5 у газовій фазі перебувають переважно у формі I, у полярних апротонних розчинниках — у формах II і III, а у протонних розчинниках — у формі IV. П.-5 вступає в реакції конденсації з альдегідами і кетонами, утворює азометинові сполуки, вступає в реакції азосполучення; за положенням 4 він нітрується, сульфується та галогенується. При ацилюванні П.-5 утворює як О- так і С-ацилзаміщені похідні (V, VI).

Одержують П.-5 взаємодією етилового естеру β-оксопропіонової кислоти з гідразином:

Із похідних П.-5 найбільш широко використовується 3-метил-1-феніл-піразолон-5, на основі якого синтезовані такі ЛП, як амінофеназон, феназон, метамізол натрію; продукти його конденсації з альдегідами використовують як аналітичні реагенти для вилучення й розподілу Pt, Ag, Cu, Zn та ін. Внаслідок реакції конденсації 3-метил-1-феніл-піразолону-5 і азосполук утворюються стійкі до дії світла барвники, які використовуються у кольоровій фотографії. При конденсації з ароматичними кетонами утворює барвники антипіринового ряду, які взаємодіють з неорганічними іонами з утворенням яскраво забарвлених комплексних сполук. Ця здатність застосовується при фотометричному визначенні Si, P, Ge, Zn, Cd та ін. 4-Ацилпіразолони широко використовуються в аналітичній хімії як екстрагенти.
Общая органическая химия: В 12 т. / Под общ. ред. Д. Бартона и У.Д. Оллиса. — Т. 8. Диазолы, триазолы, тетразоны и их бензоаналоги / Под ред. И.О. Сазерленда. — М., 1985; Химическая энциклопедия. — М., 1980. — Т. 2.
