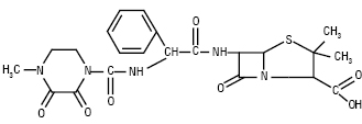
ПІПЕРАЦИЛІН (Piperacillinum), (2S,5R,6R)-6-[[(2R)-2-[[(4-Етил-2,3-діоксопіперазин-1-іл)карбоніл]-аміно]-2-фенілацетил]аміно]-3,3-диметил-7-оксо-4-тіа-1-азабицикло[3.2.0.]гептан-2-карболова кислота.
C23H27N5O7S Мол. м. 517,56

АФІ синтетичного походження. Білий дрібнокристалічний порошок гіркого смаку; визначають питоме обертання; питомий показник поглинання (
) при певній довжині хвилі. Зберігають у щільно закупореному контейнері, у захищеному від світла місці.
Ідентифікують за ІЧ-спектром поглинання субстанції; проводять реакцію з хроматроповою кислотою (коричневе, фіолетове забарвлення); реакцію утворення міді (ІІ) (зеленого забарвлення) та заліза (ІІ) (червоного забарвлення). Кількісно визначають йодометрично (сума пеніцилінів), гравіметрично, спектрофотометрично та алкаліметрично методом зворотного титрування (індикатор — фенолфталеїн).
Фармакологічна група. J01C А12, J01C — бактерицидні, антибактеріальні препарати для системного застосування; β-лактамні антибіотики, пеніциліни.
Фармакологічні ефекти. Бактерицидна дія за рахунок блокади транспептидази, порушення синтезу пептидоглікану клітинною стінкою. Активний відносно грампозитивних та грамнегативних мікроорганізмів, облігатних анаеробів, бактероїдів, клостридій.
Застосування. Тяжкі інфекційно-запальні захворювання сечовивідних шляхів (цистити, пієлонефрити, простатит, уретрит, у т.ч. гонорейний), черевної порожнини (перитоніт, позачеревні абсцеси), малого таза (ендометрит, абсцеси тазових органів, сальпінгіт, аднексит, післяродові інфекції), нижніх дихальних шляхів (гострі та хронічні бронхіти, пневмонії, абсцес легенів, емпієма плеври), захворювання порожнини рота, ЛОР-органів, шкіри та м’яких тканин, кісток суглобів, сепсис, ендокардит, інфекції на тлі імунодефіциту.
От субстанции к лекарству / Под ред. В.П. Черных. — Х., 2005; Энциклопедия лекарств / под ред. Ю.Ф. Крылова. — М., 2001; Clarke’s isolation and identification of drugs/ Editor A.C. Moffat. — London, 1986; European Pharmacopoeia 5; The Merk index an Encyclopedia of chemicals, drugs and biological / 13 Ed, 2001. — № 1.
