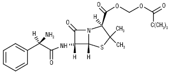
Півампіцилін (Pivampicillinum), (2S,5S, 6R)-6-[[(2R)-2-аміно-2-фенілацетил] аміно]-3,3-диметил-7-оксо-4-тіа-1-азабіцикло[3.2.0]гептан-2-карбоксилат 2,2-диметилпропаноат.
С22Н29N3O6S Мол. м. 463,5

АФІ синтетичного походження. Білий або майже білий кристалічний порошок, практично нерозчинний у воді, легкорозчинний у метанолі, етанолі. Розчиняється в розведених кислотах. [α]20D = від +208˚ до +222˚ (1% розчин у суміші спирту з 0,1 М розчином кислоти хлористоводневої). Зберігають у щільно закупореному контейнері.
Ідентифікують за ІЧ-спектром поглинання субстанції; методом ТШХ; реакцією з формальдегідом у кислоті сірчаній концентрованій (оранжеве забарвлення). Кількісно визначають методом рідинної хроматографії.
Фармакологічна група. J01C A02 — бета-лактамні антибіотики групи пеніцилінів широкого спектра дії.
Фармакологічні ефекти. Напівсинтетичний пеніцилін VI покоління, похідна мецилінату. Має широкий спектр дії.
Застосування. Бронхіт; пневмонії; шкірні інфекції; інфекції сечовивідних шляхів і гонорея; черевнотифозне носійство.
От субстанции к лекарству / Под ред. В.П. Черных. — Х., 2005; Clarke’s isolation and identification of drugs / Editor A.C. Moffat. — London, 1986; European Pharmacopoeia 5; The Merk index: An Encyclopedia of chemicals, drugs and biological. 13 Ed. — 2001. — № 1.
