ЧЕРЕДА — Bidens L. (грец. bi — два + dens — зуб, за будовою плода, що має два зубчастих загострення) — однорічні трав’янисті рослини з родини айстрових (складноцвітих) — Asteraceae (Compositae); рос. назва: череда. Нараховує 12 видів, з яких 7 представників роду зустрічаються у Середній Європі, на Кавказі та Далекому Сході.
Ч. трироздільна, або причепа — Bidens tripartita L. (лат. tripartitus, a, um — трироздільний, від tri — три- + pars, partis — частина, за формою листка); рос. назва череда трехраздельная. Коренева система галузиста, стебла поодинокі, прямостоячі, супротивно-галузисті, завв. 60–100 см, голі або злегка опушені, зелені, часто з фіолетовим відтінком. Листки супротивні (іноді верхівкові чергові), короткочерешкові, трироздільні або розсічені, з більшою, часто трироздільною верхівковою частиною і ланцетними великопильчастими частинами. Кошики з двошаровою обгорткою поодинокі або зібрані по два-три на кінцях пагонів. Квітки дрібні, жовто-коричневі, лише трубчасті. Сім’янки мають дві, рідше між ними є коротка третя, зазубрені ості. Цвіте в липні–вересні. Поширена скрізь, крім Арктики. Росте у сирих місцях, на болотах і вологих луках, на берегах річок, серед чагарників, рідше — як бур’ян на полях. Подекуди культивується; урожайність — 6–9 ц/га, на дослідних ділянках — до 24 ц/га. Офіцинальною сировиною є трава череди — Herba Bidentis. Збирають верхівки пагонів довжиною до 15 см і все листя під час бутонізації й на початку цвітіння. Після відростання пагонів і утворення кошиків збирають удруге. Сушіння повітряне. Термін придатності — 3 роки.
Трава Ч. трироздільної містить ефірну олію (0,11–1,34%), у складі якої аліфатичні й гетероциклічні поліїни, а також політієнільні сполуки без подвійних зв’язків, α- й β-пінени, мірцен, лімонен, камфора, борнеол, терпінеол; вітамін С (до 0,9%), каротиноїди (0,05%): α- й β-каротин, транс-епокси-α-каротин, транс-моноепокси-β-каротин, лютеїн, флавоксантин, ауроксантин; токофероли (0,087%), фітостерин; кумарини умбеліферон, скополетин, ескулетин; флаванони: ізокореопсин, 7-О-глюкозид кореопсину, ізооканін-7-О-глюкозид; халкони: бутеїн, кореопсин; флавони (0,5%): лютеолін та його 7-О-глюкозид — цинарозид; аурони (1%) сульфуретин і маритиметин та їх 6-О-глюкозиди — сульфуреїн і маритимеїн; дубильні речовини (3,3–6,8%); тритерпеноїди (олеанолова кислота).

Бутеїн

Сульфуретин
Глікопротеїни містять 27,8% нейтральних цукрів (глюкоза, галактоза, рамноза, ксилоза, арабіноза), 26,5% кислих цукрів (галактуронова кислота), 3,5% білка, 31–34% мінеральних речовин: K, Ca, Mg, Fe, Mn, Cu, Zn, Co, Cr, Al, V, Se, Ni, Sr, Pb, B; концентрує Mn, Zn, Sr, Se. Ч. промениста — Bidens radiata Thuill — має хімічний склад, подібний до Ч. трироздільної. Лікувальні ванни та настій трави Ч. трироздільної мають протизапальну, протиалергійну, антитоксичну й антисептичну дію, особливо бажані у педіатрії при діатезах; холеретичні, діуретичні й потогінні властивості використовуються у складі зборів при дерматитах, застуді, літіазах, захворюваннях печінки.
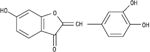
Ч. поникла — Bidens cernua L. є неприпустимою домішкою до сировини Ч. трироздільної. Листки супротивні, сидячі, цілісні, ланцетні, по краю пильчастозубчасті. Кошики пониклі, поодинокі на кінцях стебел та гілок, оточені дворядною обгорткою (ширина кошиків перевищує довжину); листочки обгортки (їх 5–9) зелені, листкоподібні, лінійні, довші за кошики; внутрішні — широкояйцеподібні, бурувато-зелені, майже однакової довжини з квітками. Усі квітки у кошику жовті; крайові — язичкові, неплідні, серединні — трубчасті, двостатеві. Плід — сім’янка, вгорі з 4 зазубреними щетинками-остями на відміну від Ч. трироздільної. Цвіте у липні–серпні. Росте поряд з Ч. трироздільною по берегах водоймищ.
Ефірна олія містить суміш моно- і сесквітерпеноїдів поряд з поліацетиленами. Основними діючими речовинами є сесквітерпенова фенольна сполука цернуол і фенілгептатриїн.

Цернуол

Фенілгептатриїн
Склад фенольних сполук різноманітний — це фенолкарбонові кислоти, кумарини, флаванони, халкони й аурони. Від Ч. трироздільної відрізняється наявністю флавонолів — похідних кверцетину, мінеральним складом: додатково виявлені Na, Ti, Ba, відсутні Zn і Se. Ефірна олія Ч. пониклої — це рослинний антибіотик. З неї розробляють препарат Цербіден антидерматомікозної дії.
Растительные ресурсы СССР: Цветковые растения, их химический состав, использование; семейство Asteraceae (Compositae). — СПб., 1993; Растительные ресурсы России и сопредельных государств: Часть 1 — Семейства Lycopodiaceae — Ephedraceae, Часть II — Дополнения к 1–7 т. — СПб., 1996; Смирнов В.В., Бондаренко А.С. Антибиотики из лекарственных растений: Некоторые итоги, перспективы изучения и применения в медицине // Фітотерапія в Україні. — 1999. — № 1–2; Зузук Б.М., Куцик Р.В. Череда трехраздельная (Bidens tripartita L.): Аналитический обзор // Провізор. — 2004. — № 21–23.
