ВЕРОНІКА (лат. Verónica L.) — рід квіткових рослин родини подорожникові (Plantaginaceae); за одними даними, налічує близько 500 видів, за іншими — 300. У багатьох публікаціях стверджується, що на основі молекулярно-філогенетичних даних рід В. утворює самостійну родину Veronicaceae Durande. Раніше цей рід належав до родини ранникові (Scrophulariaceae). Інші назви В.: російські — змійка, зміїна трава, білоруська — крінічник. Види роду Veronica L. як ЛР відомі понад 300 років, проте лише у Швейцарії, Данії та Австрії офіцинальними є: В. дібровна (V. chamaedrys L.) та В. лікарська (V. officinalis L.). До 1–3-го видання Фармакопеї Росії (1778, 1871, 1880) було внесено лише В. лікарську, пізніше її вилучено зі списку офіцинальних.
На території України зростає до 70 видів роду В., за іншими даними — 48, які згруповані у 8 секцій. Загальний ареал розповсюдження В. дуже великий і займає майже половину суші земної кулі. Для роду В. властива морфологічна мінливість. Одно-, дво- або частіш за все багаторічні трави, іноді — чагарнички. Стебла прямі або розпростерті, листя — чергові або супротивні, або розміщені мутовками; зазвичай вся рослина опушена. Квітки зібрані в гроновидні, колосовидні, головчасті або щитковидні суцвіття, верхівкові й бокові; рідше — квітки поодинокі, в пазухах листків, сидячі або на бокових довгих квітконіжках із супротивними листками і черговими вкриваючими приквітками. Віночок блакитний, синій, білий, фіолетовий або рожевий, зазвичай 4-лопатевий, часто колесовидний, 2 тичинки; плід — двогніздна коробочка, 1–12 насінин в одному гнізді. Розмножують поділом куща, черешкуванням та насінням. Росте на супіщаних та суглинних ґрунтах, серед чагарників, у листяних лісах, на вологих луках, поблизу річок. Період цвітіння — до 50 днів, із початку травня до середини вересня. Плоди починають дозрівати з кінця періоду цвітіння, фаза триває до 2 міс.
Лікарською сировиною є трава (стебла, листя, квітки), яку заготовляють під час цвітіння; відзначають гіркий смак та слабкий запах у свіжій сировині, який при сушінні зникає. Іноді використовують коріння, яке заготовляють після відмирання надземної частини. Сушать на повітрі в затінку, в добре провітрюваних приміщеннях або в сушарнях.
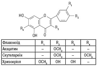
Рослина містить флавоноїди (0,4–3,5%), основні флавоноїдні глікозиди: космосіїн, цинарозид, орієнтин, вітексин, віценін; аглікони: апігенін, лютеолін, акацетин, скутелареїн, хризоеріол (5,7,4’-тригідрокси-3’-метоксифлавон).

Для видів роду В. характерні іридоїди: каталпол, каталпозид, метилкаталпол, аукубін, аукубозид, гарпагід, гардозид, верпрозид, вероніцин, мелітозид, глобуларифолін, вермінозид, азистазіозидид Е, упрозид В, азистазіозид Е, лонгіфоліозиди А та В, їх похідні та глікозиди, їх естери з кавовою, вератровою, ваніліновою, ізованіліновою, протокатеховою кислотами.
У рослинах роду В. ідентифіковано кислоти: бензойну, фенолкарбонові — саліцилову, галову, елагову, протокатехову, ванілінову, ізованілінову, п-гідроксибензойну, бузкову, фенілкарбонову — п-гідроксифенілоцтову; гідроксикоричні кислоти — коричну, кавову, п-кумарову, ферулову, хлорогенову, ізохлорогенову; аліфатичні низькомолекулярні кислоти — яблучну, лимонну, молочну, хінну.
У траві містяться арбутин, епігалова кислота; антоціани; кумарини: дикумарин, скополетин, умбеліферон, 4-гідроксикумарин; дубильні речовини конденсованої групи та ті, що гідролізуються; каротин (≈10 мг%), амінокислоти, в тому числі й незамінні (аргінін, лізин, метіонін, треонін, валін, лейцин, фенілаланін), макро- та мікроелементи, аскорбінова кислота (до 262 мг%); терпеноїди; алкалоїди; сліди серцевих глікозидів, тритерпенові сапоніни — похідні урсолової кислоти та стероїдні сапоніни — діосгенін та гітогенін; вуглеводи: глюкоза, сахароза, маніт, манітол. У коренях виявлено сліди сапонінів.
Фармакологічна активність галенових препаратів: протизапальна, спазмолітична, антисептична, фунгіцидна, анальгезивна, відхаркувальна, в’яжуча, ранозагоювальна, кровоспинна, антитоксична, жовчогінна. Експериментальні дослідження різних видів В. показали антистафілококову, протипухлинну та антиоксидантну активність. Настій та настойка з трави мають антибактеріальну, протизапальну і ранозагоювальну активність. Протипоказань до застосування настою не виявлено. В народній медицині настойку, відвар, сік рослин роду В. застосовували при ангіні, бронхіальній астмі, гострих респіраторних захворюваннях, лікуванні при різних видах кашлю і туберкульозі легень, злоякісних новоутвореннях; відвар — при захворюваннях печінки, селезінки, при захворюваннях сечостатевої системи, цукровому діабеті, при діареї, виразці шлунка, при зниженому апетиті; відвар та настойка проявляють болетамувальну та седативну дію при головному болю, нервовому виснаженні, ревматизмі, у клімактеричний період, після пологів; кровоспинну та ранозагоювальну дію при маткових і гемороїдальних кровотечах. Зовнішньо — при різних гнійних захворюваннях шкіри, виразках, опіках (порошок сухої трави), лишаї (припарки), дерматомікозі, надмірній пітливості стоп (розтерті свіжі квітки), свербежу. При дифтерії та скарлатині використовували квітучі верхівки. У тибетській медицині застосовують при гастроентериті, ендометриті, гепатиті; болезаспокійливий — при укусах змій. У гомеопатії використовують коріння, що має жовчогінну дію. В. лікарська (розведення D3) входить до складу гомеопатичного препарату.
Серед рослин роду В. є хороші медоноси. Молоде листя входить до складу приправ для юшок, салатів, м’ясних і рибних страв. Квітки використовують для надання аромату деяким сортам коньяків, лікерів та іспанського десертного вина — малаги. У Франції трава В. є компонентом лікарської чайної суміші. Настій та настойку з трави В. широко застосовують у ветеринарній практиці. Багато видів розводять як декоративні, на сьогодні існує понад 450 сортів рослини.
Літ.: Растительные ресурсы СССР. Цветковые растения, их химический состав, использование. Семейство Caprifoliaceae — Plantaginaceae / АН СССР, отв. ред. П.Д. Соколов. — Л., 1990; Grayer R.J., Jensen S.R., Ozgokce F. et al. Acylated flavone glycosides from Veronica L. // Phytochemistry. — 2003. — Т. 64, № 7; Harpet U.S., Genc Y., Khan N. Radical scavenging effects of different Veronica L. species // Records natur. product. — 2011. — Vol. 5, № 2; Harput U., Saracoglu S., Inoue M. et al. Anti-inflammatory and cytotoxic activities of five Veronica L. species // Biol. Pharm. Bull. — 2002. — № 25; Jensen S.R., Gotfredsen C.H., Harput U.S. et al. Chlorinated iridoid glucosides from Veronica longifolia L. and their antioxidant activity // J. Natur. Prod. (Lloydia). — 2010. — Т. 73, № 9; Osmachko A.P., Kovaleva A.M., Ili’ina T.V. et al. Сomponents of essential oil Of Veronica longifolia L. leaves and flovers // Pharma Innovat. — 2014.– Vol. 3, № 1; Osmachko A.P., Kovaleva A.M., Koshovyy O.N. et al. Gas chromatographic-mass spectrometric studies of organic acids of Veronica longifolia L. // Pharma Innovat. — 2013. — Vol. 2, № 10; Tămaş M. , Miclăuş V., Krausz T. et al. A comparative study of some Veronica L. species // Rev. Med. Chir. Soc. Med. Nat. Iasi. — 2007. — № 111; Zivkovic J., Cebovic T., Maksimovic Z. In vivo and in vitro antioxidant effects of three Veronica spesies // Centr. Eur. J. Biolog. — 2012. — Vol. 7.


