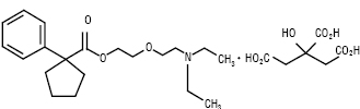
ПЕНТОКСИВЕРИНУ ЦИТРАТ (Pentoxyverini citras), 2-[2-(Діетиламіно)етокси]етил-1-фенілциклопентанкарбоксилата дигідроген 2-гідроксипропан-1,2,3-трикарбоксилат.
С20H31NО3 Мол. м. 525,6

АФІ синтетичного походження. Білий або майже білий кристалічний порошок, помірнорозчинний у воді та метанолі, легкорозчинний у крижаній оцтовій кислоті, розчинний в етанолі та метиленхлориді. Тпл =93 ˚С. Зберігають у щільно закупореному контейнері, у захищеному від світла місці.
Ідентифікують за ІЧ-спектром поглинання субстанції; проводять реакцію цитрат-іони. Кількісно визначають ацидиметрично неводним титруванням з потенціометричною фіксацією точки еквівалентності.
Фармакологічна група. R05D B05 — ненаркотичні протикашльові препарати.
Фармакологічний ефект. Протикашльовий.
Застосування. Кашель при гострих і хронічних бронхітах, бронхопневмонія, бронхіальна астма.
Державна Фармакопея України — Х., 2001; От субстанции к лекарству / Под ред. В.П. Черных. — Х., 2005; Энциклопедия лекарств / Гл. ред. Г.Л. Вышковский. — М., 2005; European Pharmacopoeia 5; The Merk index an Encyclopedia of chemicals, drugs and biological / 13 Ed, 2001. — № 1.
