ПОЛІОКСІЕТИЛЕНСТЕАРАТИ, Polyoxyethylene Stearates, Polyoxyl 40 Stearate (JP), Polyoxyl 40 Stearate (USP-NF), Polyethylene glycol stearate (CAS 9004-99-3), Polyethylene glycol distearate (CAS 9005-08-7). Мають низку загальних синонімів, а також окремо для кожного полімера (таблиця).
Для характеристики цих матеріалів використовують дві системи позначень. Число 8 у назвах «poloxyl 8 stearat» або «polyoxyethylene 8 stearate» належить до наближеної полімерної довжини в оксіетиленових ланках. Той самий матеріал також може бути позначений «polyoxyethylene glycol 400 stearate» або «macrogol stearate 400», в якому число 400 належить до середньої мол. м. полімерного ланцюга.

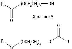
Структура А належить до моностеарату; а структура B — до дистеарату. В обох структурах R становить алкільну групу рідкої жирної (стеаринової) кислоти [СН3(СН2)16]. Проте стеаринова кислота зазвичай містить інші жирні кислоти, головним чином пальмітинову кислоту, отже, П. може також містити різні кількості інших похідних жирних кислот, таких як пальмітат. П. є неіонними ПАР, які отримують шляхом безпосередньої реакції жирних кислот, зокрема стеаринової кислоти з етиленоксидом. Отриманий продукт може бути моно- або дистеаратом із певними властивостями.
П. зазвичай використовують як емульгатори в кремах о/в або лосьйонах. Їх гідрофільність або ліпофільність залежить від кількості наявних одиниць етиленоксиду: чим більше число, тим більші виражені гідрофільні властивості. Polyoxyl 40 stearate використано як емульгатор у виробництві в/в емульсій. П. особливо корисні як емульгатори, коли наявні в’яжучі солі або інші сильні електроліти. Вони також можуть бути використані в комбінації з іншими ПАР з метою отримання певного гідрофільно-ліпофільного балансу для лосьйонів або мазей. П. використовують як допоміжний емульгатор для в/в жирової емульсії о/в у концентрації 0,5–5%, як емульгатор кремів або лосьйонів типу о/в — 0,5–10%, в очних мазях — 7%, як супозиторний компонент — 1–10%, як таблеткова змащувальна речовина — 1–2%.
П. в цілому розглядають як істотно нетоксичний і неподразнювальний матеріал. П., які містять більше ніж 100 ppm вільного етиленоксиду, можуть становити небезпеку вибуху при зберіганні в закритому контейнері (пов’язано з виходом етиленоксиду у вільний простір контейнеру, де він може накопичуватися і, таким чином, перевищувати вибухову межу). П. зазвичай стабільні за наявності електролітів і слабких кислот або основ, нестабільні в гарячих лужних розчинах (унаслідок гідролізу, а також омилення в комбінації з сильними кислотами або основами). Зміна кольору чи випадання осаду може статися в комбінації з саліцилатами, фенольними речовинами, солями йоду, вісмуту, срібла і дубильними речовинами. Також можливе утворення комплексу з консервантами. Антимікробна активність деяких АФІ, таких як бацитрацин, хлорамфенікол, феноксиметилпеніцилін, пеніцилін натрію і тетрациклін, може бути знижена за наявності концентрацій П. >5%.
Сипучий матеріал слід зберігати в добре закритій тарі в сухому місці при кімнатній температурі.
Подібні властивості мають ПЕГ і кислота стеаринова.
Chakravarty D. Study of complex formation between polyoxyl 40 stearate and some pharmaceuticals // Drug. Standards. — 1957. — Vol. 25; Cohn I. New intravenous fat emulsion // J. Am. Med. Assoc. — 1963. — Vol. 183; Fitzhugh O.G. Chronic oral toxicities of four stearic acid emulsifiers // Toxicol. Appl. Pharmacol. — 1959. — Vol. 1; Luo L. Polyoxyethylene 40 stearate modulates multi-drug resistance and enhances antitumor activity of vinblastine sulphate // AAPS J. — 2007. — Vol. 9; Satkowski W.B. Polyoxyethylene esters of fatty acids / Еd. by M.J. Schick. — Nonionic Surfactants. — NY, 1967; Thoma K. Dimensions and cause of the reaction between phenols and polyoxyethylene stearates // Arch. Pharm. — 1970. — Vol. 303; Thoma K. Investigation of the stability of penicillin G sodium in the presence of nonionic surface active agents (polyethylene glycol derivatives) // Arch. Pharm. — 1962. — Vol. 295; Ullmann E., Moser B. Effect of polyoxyethylene stearates on the antibacterial activity of antibiotics // Arch. Pharm. — 1962. — Vol. 295.
