Олія рицинова (лат. Оleum Ricini), Castor oil (USP, JP), Virgin castor oil (BP), Ricini oleum virginale (PhEur), Castor oil (CAS № 8001-79-4); син.: Lipovol CO, ricinoleum, ricinus communis, Е905а, tangantangan — тригліцерид жирних кислот: рицинолевої (87%), олеїнової (7%), лінолевої (3%), пальмітинової (2%), стеарилової (1%) та дигідроксистеаринової.
Рицинову олію одержують холодним пресуванням (не вище 60 °С) із достиглого свіжого насіння рицини (Ricinus communis Linne, род. Eurhorbiaceae) з подальшим рафінуванням, відстоюванням і фільтруванням. Насіння рицини містить близько 60% жиру, 20% білка, ліпазу, токсальбумін, що викликають аглютинацію еритроцитів. З огляду на це слід дотримуватися стислого технологічного процесу.
Чиста олія має такі характеристики: прозора, безбарвна або ледь жовтувата, в’язка, жирна рідина зі слабким своєрідним запахом. Смак також своєрідний, ледь їдкий (без гіркоти). При охолодженні до –16 °С застигає в білувату мазеподібну масу. В’язкість (динамічна) 1000 мПа·с (при 20 °С) та 200 мПа·с (при 40 °С). Тобвугл — 449 °С, Ткип — 313 °С, густина — 0,955–0,968 г/см3 (25 °С), Тзайм — 229 оС, Тпл — 12 °С, вологомісткість — не більше 0,25%, nD25 = 1,473–1,477; nD40 = 1,446–1,473; кислотне число — не більше 1,5; число омилення — 176–186; йодне число — 82–88. О.р. змішується у всіх співвідношеннях з безводним спиртом, льодяною оцтовою кислотою, етером, хлороформом і метанолом; вільно розчиняється в етиловому спирті (95%) і петролейному етері (1:1). При збільшенні кількості розчинника його надлишок відшаровується; практично нерозчинна у воді та мінеральних маслах (за винятком змішування з іншою рослинною олією). На повітрі в тонкому шарі поступово густішає, але не утворює щільної або твердої плівки.
Олія рицинова є стабільною речовиною, не гіркне, якщо не піддається надмірному нагріванню. При нагріванні до 300 °С протягом декількох годин олія полімеризується, стає розчинною в мінеральних маслах. При охолодженні до 0 °С гусне. Зберігати необхідно при температурі, не вищій за 25 °С, у заповнених доверху герметичних контейнерах зі світлонепроникних матеріалів.
Рицинова олія широко застосовують у фармації, косметології та харчовій промисловості. У фармації рицинова олія найчастіше використовують у кремах і мазях у концентрації 5–12,4% як складову речовину і розчинник для багатьох АФІ (у дерматологічних мазях, спиртових рідинах, лініментах, еластичному колодії, мазях від обмороження та в/м ін’єкціях), а також як пластифікатор при виробництві таблеток і капсул. Входить до складу багатьох косметичних засобів. Раніше використовували в терапії як проносний засіб. У харчовій промисловості — для оброблення поверхні сирів із метою запобігання плісняві, просочення пакувального паперу.
Подібні властивості має рицинова олія гідрогенізована.
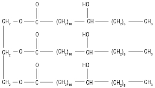
Олія рицинова гідрогенізована (лат. Oleum Ricini hydrogenatum (PhEur), Hydrogenatet castor oil (BP, USP-NF), Glyceryl-tri-(12-hydroxystearaye) CAS № 8001-78-3; син.: Gastorwax; Gastorwax MP 70, MP 80; Simulsol 1293. Відповідно до PhEur 2005 О.р. гідрогенізована — тригліцерид переважно 12-гідроксистеаринової кислоти, який одержують шляхом гідрогенізації чистої рицинової олії за наявності каталізатора, і становить тонко розтертий порошок майже білого чи біло-жовтуватого кольору або пластівці. USP описує олію рицинову як рафіновану, освітлену гідрогенізовану та дезодоровану рідину, яка головним чином складається із тригліцеридів гідроксистеаринової кислоти, що має структурну формулу:
С57О9Н110 Мол. м. 939,50

Олія рицинова гідрогенізована згідно з PhEur має містити в основному 12-гідроксистеаринову (78,0–91,0%), стеаринову (7,0–14%) та 12-гідростеаринову (до 5,0%) кислоти. Інші кислоти мають бути в таких кількостях: пальмітинова (≤2,0%), арахідонова (≤1,0%), інші жирні кислоти (≤3,0%).
Зазвичай олія рицинов гідрогенізована має такі властивості: кислотне число — ≤5,0; густина — 0,98–1,10 г/см3; Тсамозайм — 316 °С (відкрита чашка); інтервал Тпл — 83–88 °С; вміст вологи ≤0,1%; розподіл розміру частинок — 977% ≥1000 мкм (за розміром у пластівцях). Практично нерозчинна у воді, розчинна в ацетоні, хлороформі. Прозорі, стабільні хлороформні розчини (до 15%) можуть розчинятися при температурі >90 °С у полярних розчинниках та сумішах ароматичних і полярних розчинників (хоча О.р. гідрогенізована випадає в осад при охолодженні до 90 °С). Сумісна з більшістю природних і тваринних восків. Стабільна при температурі до 150 °С. Зберігають у герметичних контейнерах у прохолодному сухому місці.
Олію рицинову гідрогенізовану, як і твердий віск із високою температурою плавлення, використовують у препаратах для перорального застосування: в матеріалах для нанесення оболонок (для сповільнення вивільнення діючих речовин у концентрації 5,0–20,0%), у матрицях з цією самою метою — 5,0–10,0%, як мастильну речовину у виробництві таблеток — 0,1–2,0%. Як загусник у кремах і емульсіях для зовнішнього застосування, у препаратах для перорального застосування (таблетках і капсулах) із повільним вивільненням діючої речовини, а також як покриття та створення твердих матриць. Додатково олію рицинову гідрогенізовану використовують для змащення стінок пуансонів у виробництві таблеток; при виробництві харчових продуктів та косметичних засобів.
Допоміжні речовини та їх застосування в технології лікарських форм: Довідковий посібник / Ф. Жогло, В. Возняк, В. Попович, Я. Богдан — Львів: Центр Європи, 1996. — 96 с.; Українсько-англійський ілюстрований медичний словник Дорланда // В 2 т. — Львів, 2007; Handbook of Pharmaceutical Excipients / Ed. by R.C. Rowe, P.J. Shesky, S.C. Owen. — London–Chicago, 2006.
