МАЛЬТОДЕКСТРИН, Maltodextrin (PhEur, BP, USP, CAS № 9050-36-6); син.: Cargill Dry; C’Dry MD, C’PharmDry, Glucidex, Glucodry, Lycatab DSH, Maldex, Maldex G, Malta’Gran, maltodextrinum, Maltosweet, Maltrin, Maltrin QD, Paselli MD10 PH, Rice’Trin, Star-Dri, Tapi — білий порошок або гранули, без запаху, не солодкий на смак.
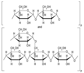
(C6H10O5)n·H2O Мол. м. 900–9000

Одержують нагріванням та обробкою крохмалю кислотою та/або ферментами за наявності води, внаслідок часткового гідролізу утворюється розчин різної довжини ланцюга полімерів глюкози. Розчин фільтрують, концентрують і сушать. Властивості: кут природного відкосу — 28,4–35,2° (залежно від виробника), насипна щільність до усадки — 0,13–0,61 г/см3 (залежно від виробника), насипна щільність після усадки — 0,32–0,63 г/см3 (залежно від виробника), щільність (істинна) — 1,334–1,419 г/см3 (залежно від виробника), питома поверхня — 0,31–0,54 м2/г; частково гігроскопічний при відносній вологості повітря >50% (гігроскопічність нелінійно збільшується при підвищеній вологості повітря), вільно розчиняється у воді, незначно — в 95% етанолі. Несумісний із сильними окисниками.
Використовують у фармацевтичній промисловості як допоміжну речовину: зв’язувальну (склеювальну) речовину в таблетках, які отримують методом грануляції (3–10%) або прямим пресуванням (2–40%); регулятор осмотичного тиску розчинів (10–50%); інгібітор кристалізації (5–20%); наповнювач (10–99%) та регулятор в’язкості (10–50%). Із терапевтичною метою М. застосовують як джерело вуглеводів у складі харчових добавок. Стабільний протягом принаймні 1 року при зберіганні в добре закритій тарі в прохолодному (<30 °C) та сухому місці (відносна вологість <50%). При зберіганні у вигляді розчину необхідне додавання протимікробного консерванта.
Handbook of Pharmaceutical Excipients / R.C. Rowe, P.J. Sheskey, M.E. Quinn. — London — Chicago, 2009; Shah A. Characterisation of maltodextrins using isothermal microcalorimetry // J. Pharm. Pharmacol. — 2000. — № 52.
