ПАНАКС — Panax L., женьшень — Pаnах ginseng C. A. Mey. (Panax — ім’я богині Панацеї — всецілительниці, дочки бога-лікаря Асклепія; ginseng — китайська назва кореня, від jen — людина, chen — корінь, або gin — людина, seng — сутність, або суть, тобто субстанція, яка прийняла форму людини) — багаторічна трав’яниста рослина родини аралієвих — Araliaceae; рос. назва: женьшень; нар. назви: корінь життя, людина-корінь. Рід об’єднує 6–7 видів, які ростуть у Північній Америці, Східній та Південно-Східній Азії. Усі види застосовуються в медицині та гомеопатії. Коренева система П. складається з короткого вертикального кореневища (так званої шийки) і власне кореня; корінь жовтувато-білий, товстий, м’ясистий, малогалузистий, часто буває схожий на статуру людини (звідси й друга назва рослини). Стебло тонке, прямостояче, гладеньке, всередині порожнє, 30–70 см завв., на верхівці увінчане розеткою з 2–5, а інколи й 6 листків. Листки черешкові, пальчастоп’ятискладні; листочки оберненоовальні, по краю — пильчасті. Квітки двостатеві, білі, іноді ніжно-рожеві, зібрані у верхівковий одиничний зонтик. Плід — соковита яскраво-червона кістянка. Цвіте у червні. Плоди достигають у серпні. Дикорослий П. росте у глухій тайзі на Далекому Сході. Рослину було занесено до Червоної книги РФ. Офіцинальною сировиною є корені П. — Radices Ginseng, які заготовляють у першій половині серпня, коли достигають червоні плоди, або у вересні–жовтні після вегетації. Самовільна заготівля дикорослого П. заборонена. На плантаціях П. вирощують 5–6 років; товарні корені мають вагу від 14 г; маса коренів, вирощених у Боярці (Україна), досягає 50–60 г. Таку вагу в природних умовах мають корені віком 40–45 років. Заготівлю коренів зазвичай проводять вручну, щоб не відірвати від кореня «шийку» і не ушкодити бічні й додаткові корені, старанно очищають м’якою сухою щіточкою від землі (мити не дозволяється!), відрізають надземну частину, кладуть в обкладену мохом коробочку з кори, засипають землею, яку беруть з того місця, де ріс П., і в такому вигляді доставляють на приймальний пункт. Зберігати свіже коріння можна не більше 5 діб. Для тривалого зберігання корені сушать на сонці, одержуючи таким чином сировину під назвою «біле коріння»; товсті корені перед сушінням розрізують на пластинки. Зберігають сировину в щільно закритих банках або поліетиленових мішках у сухому приміщенні. Іншим способом обробки сировини для запобігання загнивання є такий: корені одразу ж після викопування сортують, миють, пров’ялюють і обробляють паром при 80 °С або витримують 1 год над киплячою водою — таку сировину називають червоним корінням. Крупні корені витримують при цій температурі протягом 2 год, середні — півтори години. Вважається, що в червоному корінні БАР міститься майже вдвічі більше. Промислове виробництво ведеться на спеціалізованих підприємствах. Товарне ціле коріння складається з короткого вертикального кореневища та м’ясистого стрижневого кореня довжиною 15–25 см. Кореневище тонке (шийка) з кільчастими рубцями від залишків стебел, які щорічно відмирають. На верхівці кореневище розширене (голівка) та має бруньку, що зимує. Головний стрижневий корінь утворює невеликий кут з кореневищем. Він товстий (0,7–2,5 см у діаметрі), веретеноподібної форми, поздовжньо-зморшкуватий, з кільчастими поперечними потовщеннями у верхній частині (тіло). Знизу корінь часто розгалужується на два, рідше — на три та більше відростків — бічні корені (ноги). Часто бувають відгалуження й від кореневища — додаткові корені (руки). Колір кореня жовтувато-білий зовні та майже білий на зламі. Смак гіркувато-пряний, специфічний. Запах своєрідний. Сировина П. включена у ДФ СРСР IX–XІ видань.
Дослідженням коренів П. займаються в РФ та Японії. Основними діючими речовинами вважають тритерпенові сапоніни, вміст яких у білому П. становить 2–3, але може досягати 12,5%. Дикорослі корені містять приблизно на 30% більше гінзенозидів, ніж корені, що культивують, тієї ж маси. Пріоритет у виділенні сполук належить російським ученим, які назвали їх панаксазидами А, В, С, Д, Е, F, G і поділили на похідні панаксадіолу та панаксатріолу. Зараз відомо понад 30 глікозидів, які називають гінзенозидами і надають їм літерну і цифрову нумерацію.

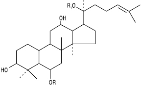
20S-Протопанаксатріол — R = R1= H
Гінзенозид Re — R = α-L-Rha(1→2) β-D-Glu; R1=β-D-Glu
Гінзенозид Rf — R = β-D-Glu (1→2) β-D Glu; R1=H
Гінзенозид Rg1 — R = R1 = β-D-Glu
Гінзенозид Rg2 — R = α-L-Rha(1→2) β-D-Glu; R1=H
Гінзенозид Rh1– R = β-D-Glu; R1=H

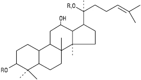
20S-Протопанаксадіол — R = R1= H
Гінзенозид Rb1 — R = Glu 1→2 Glu
R1=Glu 1→6 Glu
Гінзенозид Rb2 — R = Glu 1→2 Glu
R1=Ara 1→6 Glu
Гінзенозид Rc — R = Rha1→2Glu
R1=Ara-f 1→6 Glu
Гінзенозид Rd — R = Rha 1→2 Glu
R1=Glu
Вміст кожного глікозиду становить (у%): гінзенозид-Ra і Ra1 разом (0,01–0,03), гінзенозид-Ra2 (0,02), гінзенозид-Ra3 (0,03–0,05), гінзенозид-Rb1 (0,38–5,26), гінзенозид-Rb2 (0,9–2,3), гінзенозид-Rb3 (0,01), гінзенозид-Re (0,1–2,17), гінзенозид-Rg1 (2,77), гінзенозид-Ro (0,04–0,6). Гемолітичний індекс сапонінів на рівні близько 1000. Серед інших БАР: стероїди (0,029%); холін (0,1–0,2%), вітаміни С, В1, В2, В12, біотин, нікотинова, фолієва, пантотенова кислоти; поліацетиленові сполуки: фалькаринол, фалькаринтріол, панаксидол, гептадека-1-єн-4,6-дин-3,9-діол; десять нових поліацетиленів, названих гінзеноїнами A, B, C, D, E, F, G, H. I і K; вуглеводи: сахароза, специфічні трисахариди, пектинові речовини, крохмаль, водорозчинні полісахариди (до 38,7%), що значно більше, ніж у інших далекосхідних аралієвих (2,3–5,7%), лугорозчинні полісахариди (7,8–10%; полісахариди гідролізуються до глюкози, галактуронової кислоти, арабінози, ксилози, рамноми та галактози); жирні кислоти; макро- (K, Ca, Mg, S, P, Fe) та мікроелементи (Cu, Co, Mn, Al, Si, Mo, Zn, Cr, накопичує Ag). Етерна олія (0,05–0,25%, у культурі — до 0,96%) містить сесквітерпени (80%), серед яких переважає фарнезол (до 5–6%). В етерній олії з бутонів квіток (до 0,2%, за допомогою газової хроматографії) виявлено 128 сполук, 40% олії припадає на сесквітерпени та 20% — на (Z)-фарнезен. У траві знайдені гінзенозиди, флавоноїди: кемпферол, кемпферол-3-галактозид, кемпферол-глюкогалактозид та ін.
Гінзенгозиди П. стимулюють холестероловий метаболізм, підвищують ліпопротеїн-ліпазну активність плазми крові, проявляють нейролептичну, антистресорну, знеболювальну, гіпертензивну, холіноміметичну, гістаміно-, атропіно-, папавериноподібну активність. Гінзенозид-Rb1 та гінзенозид-Rg1 високоефективні при раку шлунка, гінзенозид-Rg1 гальмує ріст «саркоми-180» у мишей. Останнім часом велику увагу приділяють пептидам женьшеню. Так, виділено пептид з екстракту женьшеню, який показав у дослідах з культурою клітин нирок хом’ячка стимуляцію проліферації клітин; цей пептид складається з чотирьох амінокислот: гліцину, аргініну, глютаміну і валіну у співвідношенні 1:1:1:1. Пептидна частина глікану панаксану А становить усього 1,7% від загальної маси молекули, але має вирішальне значення для гіпоглікемічної активності. Полісахаридні фракції з коренів П. та клітинної маси культурної тканини П. виявляють імуностимулювальну активність. Пептидоглікани — панаксани A, B, C і D регулюють рівень цукру у крові, арабіногалактани — гінзенан Pa, гінзенан Pb і гінзенани S-IA і S-IIA впливають на активність ретикуло-ендотеліальної системи і проявляють антикомплементарну властивість. Полісахариди, отримані з листя П., мають протипухлинну дію. Препарати П. мають адаптогену, тонізуючу та імуномодулюючу дію, посилюють працездатність, зменшують втому при великих фізичних навантаженнях і стресі; використовують при нервовому й фізичному виснаженні, анемії, неврастенії, істерії, астенічних станах, зумовлених різними захворюваннями: діабетом, туберкульозом, малярією тощо; у період одужання у післяопераційний період, при підвищеному і зниженому тиску, для поліпшення діяльності серцево-судинної системи, при вірусному гепатиті, для лікування статевих розладів, атеросклерозу та гастритів різного походження тощо.
Розроблені лікарські форми препаратів П. — емульсії, супозиторії, аерозолі, які використовують при пухлинах шлунка, прямої кишки, матки та інших органів. Ефективність П. значною мірою залежить від дози: в низьких дозах він посилює збудження, а у високих, навпаки, посилює гальмівні процеси. П. є синергістом відомих стимуляторів і фізіологічним антагоністом деяких наркотиків (барбітуратів, хлоралгідрату, етилового спирту); посилює процеси збудження в нейронах кори та в стовбурових відділах головного мозку і покращує рефлекторну діяльність. Препарати П. в експерименті стимулюють синтез ядерних рибонуклеїнових кислот і РНК-полімерази печінки, підвищують синтез білка, рибонуклеїнової кислоти і ліпідів у клітинах кісткового мозку, підвищують рівень АМФ у наднирковій залозі і збільшують вміст оксикортикостероїдів у плазмі крові. П. входить до БТФ, застосовується в гомеопатії поряд з П. п’ятилистим. Китай імпортує препарат китайського П., який називається П. несправжній — P. pseudoginseng Wall. (китайське sаn-сh’і) і розповсюджений в Індокитаї. Незважаючи на таку назву, за лікувальною цінністю він традиційно стоїть на другому місці після кореня життя. Китайська назва P. pseudoginseng — «сан-чи» перекладається як «три-сім» — за кількістю листків і листочків у них. Кількість листків у несправжнього женьшеню доходить до 6, а листочків у них налічується, як і у справжнього женьшеню, у середньому 5, але зустрічаються також рослини з 6-, 7- і навіть 8-листочковими листками. Ареал його розповсюдження охоплює південний захід Китаю, а також частину території Індії, В’єтнаму, Таїланду. У Китаї він культивується вже більше 200 років, тут його вирощують головним чином у провінції Юньнань і тому часто називають «юньнаньський саньчи» (Yunnan sаn-сh’і). Офіцинальний П. застосовується у гомеопатії поряд з П. п’ятилистим, який також називають П. несправжнім — P. quinquefolium L.; він є предметом експорту із Східної Америки і Канади через Гонконг до Китаю та інші азіатські країни. З різних частин P. quinquefolium виділені поліацетилени з вираженою цитотоксичною активністю PQ-1, PQ-2 і PQ-3, з коренів — C-17- і C-14-поліацетилени, які використовують проти культури клітин лейкемії (L 1210). Поряд з П. застосовується ще один американський вид П. — П. трилистий — P. trifolius L., у якого корінь подібний до бульби картоплі, за що рослина одержала назву земляного горіха. Препарати з В’єтнаму виготовляють з П. в’єтнамського — P. vietnamense Grushv. (ендемік В’єтнаму).
Атопкина Л.Н., Шенцова Е.Б., Анисимов М.М. и др. Структурно-функциональные свойства гликозидов Panax ginseng C.A. Mey. и их аналогов. Гемолитическая активность кетопроизводных 20(S)-протопанаксадиола и их гликозидов // Растит. рес. — 2000. — Вып. 4. — Т. 36; Легостева А.Б. Фитохимическое изучение листьев женьшеня, получение и анализ препаратов, содержащих панаксозиды. — Л., 1989; Способ приготовления и фармакологические свойства настойки из листьев женьшеня / С.А. Минина, А.Б. Легостева, Н.Б. Сыровежко и др. // Хим.-фармац. журн. — 2000. — № 9. — Т. 34; Химическая характеристика, сравнительное количественное определение и биологическая активность тритерпеновых гликозидов из дикого и плантационного женьшеня Panax ginseng C.A. Meyer, произрастающих в Приморском крае / Г.Б. Еляков, Н.И. Уварова, В.В. Маханьков и др. // Хим.-фармац. журн. — 2000. — № 3. — Т. 34; RAPD- и аллозимный анализ генетической изменчивости Panax ginseng C.A. Meyer и P guinguefolius L. / Е.В. Артюкова, М.М. Козыренко, О.Г. Корень и др. // Генетика. — 2004. — № 2. — Т. 40; Drogenanalysis. — Berlin, Heidelberg, Tokio, 1983; European Pharmacopoeia. — 2002; Hildebert Wagner, Sabine Bladt. Plant Drug Analysis: a Thin layer chromatography atlas. — Berlin-Heidelberg-New York. — 1996; Who monographs on selected medicinal plants. Vol. 2. — World Health Organization. — Geneva. — 2002.
