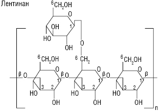
ШИЇТАКЕ (лат. Lentinus edodes, рос. шиитаке) — гриб, який належить до родини трихоломові (Tricholomataceae), здавна застосовувався у народній медицині багатьох країн Азії. Хімічний склад Ш. представлений полісахаридами, зокрема лентинаном, протеїнами, вітамінами. Фармакологічну дію зумовлює лентинан, який являє собою β-(1→3)-D-глюкан, що має розгалуження в положенні β-(1→6). Мол. маса сполуки становить у середньому 500 кДа.

Ш. містить також щавлеву кислоту, яка відповідає за антимікробну активність. Лентинан виявляє виражену протипухлинну активність. За даними наукових досліджень, повну регресію пухлини відзначають при введенні лентинану в дозі 1 мг/кг 10 разів без проявів токсичності.
Гриби як перспективна сировина для застосування в медицині / В.С. Кисличенко, Т.П. Гарник, І.О. Журавель та ін. // Фітотерапія. Часопис. — 2013. — № 1; Fractionation and Purification of the Polysaccharides with Marked Antitumor Activity, Especially Lentinan, from Lentinus edodes (Berk.) Sing, (an Edible Mushroom) / G. Chihara, J. Hamuro, Y.Y. Maeda, Y. Arai et al. // Cancer Research. — 1970. — Vol. 30; The Pharmacological Potential of Mushrooms / U. Lindequist, T.H. Niedermeyer and W.-D. Jülich // eCAM. — 2005. — № 2(3); Variation of bioactive lentinan-containing preparations in Lentinula edodes strains and stored products / M.M.M. Tomassen, E.A.H.J. Hendriх, A.S.M. Sonnenberg, H.J. Wichers et al. // Proceedings of the 7th International Conference on Mushroom Biology and Mushroom products (ICMBMP7). — 2011.
