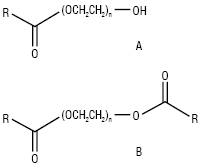
СТЕАРАТИ ПОЛІОКСІЕТИЛЕНУ (мірі) — серія поліетоксильованих похідних стеаринової кислоти або складні етери поліетиленгліколів і вищих жирних кислот, що мають загальну формулу:

де R — радикал вищої жирної кислоти.
Гідрофобна частина молекул С.п. представлена в основному радикалами вищих жирних кислот, а гідрофільна — поліоксіетиленовим ланцюжком із подовженням якого зростає їх гідрофільність та значення показника гідрофільно-ліпофільного балансу (ГЛБ).
Із великої кількості С.п. у фармакопеях США 23 та Японії наведений лише один тип — polyoxyl 40 stearate, а в реєстр CAS внесені дві хімічні назви: polyethelene glycol stearate (№ 9004-99-3) і polyethelene glycol distearate (№ 9005-08-7). С.п. мають різні торговельні назви, з яких найбільш широке вживання мають мірі (Myri), кремофор (Cremophor), крил (Crill), атлас (Atlas), ПЕГ 40 стеарат (PEG 40 stearate), макрогол стеарат 2000 (macrogol stearate 2000) та багато інших.
С.п. — неіонні ПАР, які отримують поліетоксилюванням стеаринової кислоти. Для позначення отриманих матеріалів використовуються 2 системи номенклатурного позначення. Номер «40» у назві «поліоксил 40 стеарат» або «поліоксіетилен 40 стеарат» означає приблизну довжину полімеру в оксіетиленових одиницях. У назві «поліоксіетилен гліколь 400 стеарат» або «макрогол стеарат 400» позначають середню мол. м. полімерного ланцюга. Емпіричні формули, мол. м. та зовнішній вигляд С.п. наведені в табл. 1.
Структура А належить до моностеаратів, де середнє значення n=6 для поліоксил 6 стеарату, 18 — для поліоксил 8 стеарату і т.д. Структура В належить до дистеарату, де середнє значення n=12 для поліоксил 12 дистеарату, 32 — для поліоксил 32 дистеарату і т.д. В обох структурах R представляє алкільну групу спорідненої жирної кислоти, переважно пальмітинової, отже, поліоксіетилен стеарат може мати різну кількість інших похідних жирної кислоти, таких як пальмітати. Типові властивості С.п. наведені в табл. 2. С.п. добре розчиняються в етанолі (95%) і воді; не розчиняються в мінеральній олії (крім поліоксил 6 стеарату).
Таблиця 1. Емпірична формула, мол. м. та опис найбільш відомих С.п.
| Назва | Емпірична формула | Мол. м. | Опис |
| Поліоксил 6 стеарат | С30Н60О8 | 548,80 | Твердий, віскоподібний |
| Поліоксил 8 стеарат | С34Н68О10 | 636,91 | М’який, віскоподібний |
| Поліоксил 12 стеарат | С42Н84О14 | 813,12 | Пастоподібний |
| Поліоксил 20 стеарат | С58Н116О72 | 1165,55 | Твердий, віскоподібний |
| Поліоксил 40 стеарат | С98Н196О42 | 2046,61 | Твердий, жироподібний, із запахом жиру або без запаху |
| Поліоксил 50 стеарат | С118Н236О52 | 2487,15 | Твердий, із запахом жиру |
| Поліоксил 100 стеарат | С218Н436О102 | 4689,80 | Твердий |

Таблиця 2. Типові властивості С.п.
| Назва | Кислотне число | ГЛБ | Гідроксильне число | Тпл, оС | Точка омилення | Вміст води, % |
| Поліоксил 6 стеарат | ≤5,0 | 9,7 | – | 28–32 | 95-110 | – |
| Поліоксил 8 стеарат | ≤2,0 | 11,1 | 87–105 | 28–33 | 82–95 | ≤3,0 |
| Поліоксил 12 стеарат | ≤8,5 | 13,6 | 55–75 | ≈37 | 62–78 | ≤1,0 |
| Поліоксил 20 стеарат | ≤1,0 | 14,0 | 50–62 | ≈28 | 46–56 | ≤1,0 |
| Поліоксил 40 стеарат | ≤1,0 | 16,9 | 27–40 | ≈38 | 25–35 | ≤3,0 |
| Поліоксил 50 стеарат | ≤2,0 | 17,9 | 23–35 | ≈42 | 20–28 | ≤3,0 |
| Поліоксил 100 стеарат | ≤1,0 | 18,8 | 15–30 | ≈46 | 9–20 | ≤3,0 |
Завдяки своїм значним емульгувальним властивостям С.п. широко застосовуються як емульгатори для емульсій типу в/о (з меншим значенням ГЛБ) і емульсійних систем типу о/в (з більшим значенням ГЛБ). Поліоксил 40 стеарат використовується як емульгувальний агент для в/в інфузій. С.п. особливо корисні як емульгатори, коли в систему входять сильні електроліти. Вони можуть змішуватися з іншими ПАР і використовуватися для отримання будь-якого ГЛБ мазей, кремів, лосьйонів (табл. 3).
Таблиця 3. Використання С.п.
| Застосування | Концентрація, % |
| Допоміжний емульгатор для в/в введення жирних емульсій | 0,5–5,0 |
| Емульгатор систем о/в у кремах і лосьйонах | 0,5–10,0 |
| Емульгатор в офтальмологічних мазях | 7,0 |
| Компонент у супозиторіях | 1,0–10,0 |
| Зв’язувальна речовина для таблеток | 1,0–2,0 |
Жогло Ф., Возняк В., Попович В. та ін. Допоміжні речовини та їх застосування в технології лікарських форм. — Львів, 1996; Handbook of Pharmaceutical Excipiets / Ed. by R.C. Rowe, P.J. Sheskey, S.C. Owen. — London–Chicago, 2006.
