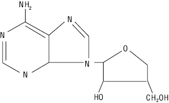
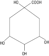
КОРДІЦЕПС (лат. Cordyceps sinensis, рос. — кордицепс), родина спориннєві (С1аvicipitaceae) — гриб, який застосовується у традиційній китайській медицині понад 2000 років. В останні 15–20 років в європейських країнах зріс інтерес до К. як до альтернативної сировини для лікування при багатьох захворюваннях. Плодове тіло гриба містить азотовмісну сполуку кордицепін, кордицепову кислоту (ізомер хінної кислоти), полісахариди (3–8%), манітол, нуклеотиди (аденозин, гуанозин, уродин), ергостероли, пептиди, які містять α-аміноізобутирову кислоту, глікопротеїни, жирні кислоти. У К. вміст ненасичених жирних кислот досягає 58%, серед них переважає лінолева (39%) та олеїнова (18%) кислоти. Серед насичених жирних кислот переважають пальмітинова (22%) та стеаринова (16%). Полісахариди переважно складаються з манози, глюкози та галактози. З метанольного екстракту К. зарубіжними вченими виділено сполуки стероїдної природи — 5α,8α-епідіокси-24(R)-метилхолеста-6,22-дієн-3β-D-глюкопіранозид, 5,6-епокси-24(R)-метилхолеста-7,22-дієн-3β-ол, ергостерин-3-О-β-D-глюкопіранозид та 22-дигідроергостерил-3-О-β-D-глюкопіранозид.

Кордіцепін

Кордіцепова кислота
БАР К. стимулюють енергетичний метаболізм клітин печінки, зокрема клітин Купфера. В експерименті на тваринах доведено, що екстракти з К. скорочують аміноглікозид-індуковану нефротоксичність, гематурію та протеїнурію, стимулюють продукцію глюкортикоїдів, інгібують агрегацію тромбоцитів. Також виявлено протиракову та імуностимулювальну активність.
Протипухлинна активність К. зумовлена наявністю полісахаридів, пептидів, стеринів та аденозину, імуномодулювальна — наявністю полісахаридів. Крім того, К. має антиоксидантну, протизапальну, інсектицидну, антимікробну, гіполіпідемічну, гіпоглікемічну, нейропротекторну дію. Полісахариди також зумовлюють антиоксидантну, гіпоглікемічну, протизапальну активність, ергостероли — антивірусну, антиаритмічну, манітол — діуретичну, протикашльову й антиоксидантну дію. Доведено, що екстракти К. позитивно впливають на запобігання порушенням пам’яті, які пов’язані з хворобою Альцгеймера.
Гриби як перспективна сировина для застосування в медицині / В.С. Кисличенко, Т.П. Гарник, І.О. Журавель та ін. // Фітотерапія. Часопис. — 2013. — № 1; Antitumor sterols from the mycelia of Cordyceps sinensis / Jin Woo Bok, Leonard Lermer, Jeff Chilton et al. // Phytochemistry. — 1999. — Vol. 51; Cordyceps fungi: natural products, pharmacological functionsand developmental products / Xuanwei Zhou, Zhenghua Gong, Ying Su et al. // Journal of Pharmacy and Pharmacology. — 2009. — Vol. 61; The immunomodulatory effects of Cordyceps sinensis on dendritic cells derived from chronic myelogenous leukemia (CML) / Zhi-liang Huang, Jie Jin, Xiang-min Tong et al. // J. Med. Plants Res. — 2011. — Vol. 5(24); Studies on isolation and structural features of a polysaccharide from the mycelium of an Chinese edible fungus (Cordyceps sinensis) / Wu Yalin, Sun Cuirong, Pan Yuanjiang // Carbohydrate Polymers. — 2006. — Vol. 63, Is. 2.
