СОЛОДЕЦЬ, солодка, лакричник, лакриця — Glycyrrhiza L. (від грец. glykys — солодкий і rhiza — корінь) — рід рослин родини бобових (Fabaceae). Близько 15 видів розповсюджені в помірному і субтропічному поясах Євразії та Америки, в Північній Африці та Австралії. У країнах СНД росте 7 видів, головним чином у степовій, напівпустельній і пустельній зонах. Найбільш поширеними на півдні Європейської частини, на Кавказі, в Казахстані та Середній Азії є С. голий — G. glabra L. (лат. glaber, bra, brum — голий), а С. уральський (G. uralensis Fish.) — на півдні Сибіру, в Казахстані і Середній Азії; рос. назви: солодка, лакричник, лакрица. Багаторічна трав’яниста рослина до 150–200 см завв., яка розвиває могутню кореневу систему з короткого кореневища і вертикального кореня до 50 см завд. і 10 см у діаметрі; від головного кореня відходять численні довгі (до 8–9 м) горизонтальні нові пагони (столони), малорозгалужені. Листки чергові, непарноперисті, короткочерешкові, з 3–8 парами еліптичних або ланцетоподібних цільнокраїх листочків. Квітки зазвичай лілуваті, зібрані в негусту пазушну волоть. Віночок метеликовий білувато-фіолетовий. Плід — біб з 1–8 насінинами. С. уральський відрізняється більш щільними суцвіттями і мішкоподібно-повітряною в основі чашечкою. Росте переважно в долинах річок, по гірських схилах і як бур’ян у посівах; часто утворює чагарники. Обидва види служать основним джерелом так званого солодкового, або лакричного кореня — Radices Glycyrrhizae (Radices Liquiritiae). Щорічно заготовляють близько 8 тис. т коренів. Наприкінці осені або навесні корені викопують вручну, а де можна — виорюють, очищають від землі, відсікають підземні частини і складають сирий корінь для підв’ялення й первинного сушіння. Остаточне сушіння проводять у буртах (скиртах). Більша частина сировини використовується в натуральному стані, деяка кількість випускається очищеною від зовнішньої бурої шкірки. Сировина — циліндричні шматки різної товщини і довжини. Зовні корені темно-бурі, злам світло-жовтий, волокнистий. Запах відсутній, смак нудно-солодкий, злегка подразнювальний. Очищений корінь відрізняється тим, що зовні він світло-жовтий, місцями із залишками бурої шкірки.
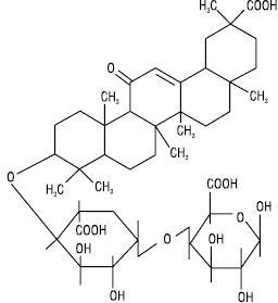
Перші свідчення про хімічні дослідження С. припадають на 1819 р., коли з коренів була виділена гліциризинова кислота, і з того часу рослини цього роду є предметом постійної уваги хіміків. Доведено, що корені С. містять тритерпенові глікозиди, флавоноїди, пектинові речовини, крохмаль та ін. Тритерпенові сполуки представлені гліциретиновою кислотою та її глюкуронобіозидом — гліциризиновою кислотою.

Гліциризинова кислота
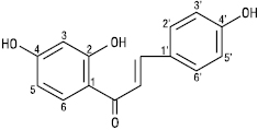
Вміст тритерпенових сапонінів у коренях С. становить 8–24% залежно від фази вегетації (гліциризинова, ураленова кислоти, їх метилові етери та глюкуроніди). Тритерпенові сапоніни виявлені також у траві названих видів. Флавоноїди (3–4%) у коренях С. вперше були виявлені в 1933 р. Ліквіритин був виділений японськими хіміками Шинода (Сінода) та Уеда в 1933 р. Починаючи з 1960 р., зусиллями В.І. Литвиненка та співробітників ДНЦЛЗ доведено, що в коренях і траві різних видів С. міститься понад 40 флавоноїдів, представлених флавонами, флавонолами, флавононами і халконами. Серед основних — ліквіритигенін і його глікозиди: ліквіритин (4′-О-глюкозид ліквіритигеніну), неоліквіритин (4′-О-глюкозил-апіозид ліквіритигеніну), уралозид (7-О-глюкозил-апіозид ліквіритигеніну). Основним халконом є ізоліквіритигенін і його глікозиди: ізоліквіритин (4′-О-глюкозид ізоліквіритигеніну), лікуразид (4-О-глюкозил-апіозид ізоліквіритигеніну).

Ізоліквіритигенін
Застосування коренів С. з лікувальною метою відоме з часів Гіппократа, коли густий екстракт та сироп використовували для виготовлення пілюль та маскування смаку ліків, а сухий екстракт та порошок кореня в суміші з іншими рослинами чинив відхаркувальну та пом’якшувальну дію. Нині доведено, що тритерпени С. (гліциретинова, меристотропова, мацедоникова кислоти та їх похідні) впливають на водно-сольовий обмін в організмі аналогічно до гормонів кори надниркової залози; похідні гліциризинової кислоти проявляють противірусну дію відносно вірусу простого герпесу; глікопептиди гліциризинової кислоти мають противиразкову дію та прискорюють процес регенерації при виразкових ураженнях шлунка; сума тритерпеноїдів виявляє високу гіполіпідемічну активність. На основі тритерпенових сапонінів створені препарати: Гліцирам — моноамонієва сіль гліциризинової кислоти — виявляє протизапальну та протиалергійну дію, є синергістом глюкокортикоїдних гормонів, використовують для лікування бронхіальної астми та ниркової недостатності; Гліциренол — натрієва сіль гліциретинової кислоти — виявляє протизапальний та антимікробний ефект, застосовують для лікування трихомонадних кольпітів; Гліцестрон — має естрогенну дію; Ліквіритон — сума флавоноїдів коренів С. голого — застосовують для лікування виразкової хвороби шлунка та дванадцятипалої кишки, гастритів і колітів; Флакарбін — комплексний препарат (до складу входить лікуразид — халконовий біозид С. голого та С. уральського) з тією ж дією.
С. застосовують більш ніж у 20 галузях народного господарства, у т.ч. у харчовій, металургійній, хімічної промисловості. Крім того, корінь С. є важливою статтею експорту.
Литвиненко В.И. Химическое исследование флавоноидов солодки. — Х., 1964; Литвиненко В.И. Фенольные соединения рода солодки и их исследование и применение // Тез. докл. симпоз. по изучению и использованию солодки в народном хозяйстве СССР. — Ашхабад, 1969; Машковский М.Д. Лекарственные средства: В 2 т. — М., 2002; Муравьев И.А. Материалы к изучению солодок СССР. — Пятигорск, 1953; Растительные ресурсы СССР: Цветковые растения, их химический состав, использование; Семейства Hydrangeaceae — Haloragaceae. — Л., 1987; Afchar D., Cave A., Vaquette J. Study of licorice from Iran: Flavonoids from Glycyrrhiza glabra L. var. glandulifera Waldst. Et Kit. And G. glabra L. var. violacea Boiss. // Plant. Med. et Phytother. — 1984. — Vol. 18, № 2; Miething H., Speicher-Brinker A. Neolicuroside, a new chalcone glycoside from the roots of Glycyrrhiza glabra // Arch. Pharm. — 1989. — Vol. 322, № 3.
