СЕЧОВИНА, карбамід — діамід вугільної (карбонатної) кислоти,

безбарвна кристалічна речовина (тонкі голки або плоскі призми) з Тпл 132,7 °С; d420 1,335; nD25 1,484; сублімується у вакуумі при 120–130 °С (без розкладання); розчинна у воді, спиртах, рідких амоніаку та сірчаному ангідриді, малорозчинна в етері; нерозчинна у хлороформі. Внаслідок таутомерії утворює ізосечовину (І):

У водних розчинах С. існує у вигляді іонів H2NCON+H3 та H2NC(NH)O– (К 1,5·10–14; 25 °С). Стійка до дії таких окисників, як Н2О2 та KMnO4. У хімічному відношенні С. виявляє властивості амідів, але, на відміну від останніх, у С. більш виражені основні та нуклеофільні властивості. З сильними кислотами утворює солі. Здатна утворювати комплексні сполуки з багатьма речовинами, напр.:
NaCl•CO(NH2)2•H2O;
CuSO4•CO(NH2)2•H2O;
H2O2•CO(NH2)2;
CH3OH•CO(NH2)2
У водних розчинах кислот або лугів С. гідролізується, утворюючи вуглекислий газ і амоніак. При нагріванні до 150 °С і вище утворює біурет (ІІ) і як побічний продукт — ціанурову кислоту (ІІІ):
 
 
Розплавлена С. взаємодіє з лужними металами та їх амідами з утворенням солей ціанаміду:
H2NCONH2 + Na→NaHCN2 + 0,5H2 + NaOH;
H2NCONH2 + NaNH2→NaHCN2+ H2O + NH3
Сплавлення з нітратом амонію призводить до утворення іміносечовини — гуанідину:

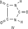
При алкілуванні утворює алкілзаміщені С. складу RNHCONH2. Взаємодія зі спиртами приводить до виникнення уретанів — H2NCOOR; з карбоновими кислотами та їх функціональними похідними (ангідридами, хлорангідридами, естерами) утворює N-ацилпохідні С. — уреїди RCONHCONH2. Уреїди — кристалічні речовини з високими Тпл. При взаємодії С. з дикарбоновими кислотами утворюються уреїди двох типів: кислі — уреїдокислоти (урові кислоти) H2NCONHCO(CH2)nCOOH і середні, або циклічні, напр. парабанова кислота (IV), сечова кислота (V):
 
 
Нагрівання С. з деякими арилангідридами дикарбонових кислот приводить до утворення відповідних імідів (напр. із фталевого ангідриду при 150 °С — фталімід). З амінами аліфатичного ряду С. вступає в реакцію поліконденсації з утворенням високомолекулярних продуктів типу H2N(CH2)n[NHCONH(CH2)n]n, з аніліном дає феніл- і дифенілсечовину; з гідразином — семікарбазид H2NCONHNH2 і гідразоформамід (H2NCONH)2.
Існує декілька методів якісного визначення сечовини: утворення осадів нітрату С. H2NCONH2·HNO3 або оксалату С. H2NCONH2·H2C2O4; забарвлення солянокислих розчинів С. у фіолетово-пурпуровий колір при додаванні фурфуролу; біуретова реакція. Для кількісних визначень С. гідролізують за наявності H2SO4 або уреази і визначають NH3 (відтитровують або визначають реактивом Неслера) або окиснюють титруванням слабколужним розчином гіпоброміту калію з наступним визначенням його надлишку чи об’єму виділеного азоту (за А.П. Бородіним).
У промисловості С. добувають реакцією взаємодії амоніаку з карбону (ІV) оксидом (Ф.І. Базаров, 1870 р.); проміжним продуктом у цьому синтезі є карбомат амонію:
2NH3 + CO2 H2NCOONH4;
H2NCOONH4;
∆H°298 = –38,0 ккал/г-моль
H2NCOONH4 H2NCONH2 + H2O;
H2NCONH2 + H2O;
∆H°298 = +6,7 ккал/г-моль.
Ці реакції зворотні; ступінь перетворення СО2 на карбомат амонію й останнього на С. залежить від температури, тиску, вагових співвідношень між вихідними сполуками, від домішок інертних газів і води, а також часу перебування речовин, які реагують, у реакційному об’ємі. Обидві реакції проводяться безперервно та одночасно при температурі 160–200 °С і тиску 50 атм. С. — кінцевий продукт білкового обміну в багатьох безхребетних тварин і у більшості хребетних: риб, ссавців, земноводних, людини. У хребетних С. виділяється нирками і частково потовою залозою. У тваринних організмах С. міститься в невеликій кількості в м’язах, крові, слині, сльозах, лімфі, молоці. У рослинних організмах (грибах, деяких вищих рослинах) — у тканинах.
С. та її похідні широко використовують. У фармацевтичній промисловості вона є вихідною сполукою для синтезу речовин: фенобарбіталу, вероналу, бромуралу та багатьох інших; входить до складу гігієнічних (зубні пасти) і косметичних кремів. Широко використовується в сільському господарстві: у тваринництві застосовують як домішки до кормів для жуйних тварин; у рослинництві — як висококонцентроване (46,55% N2) азотне добриво, яке підходить для всіх типів ґрунтів і вноситься під усі культури; похідні С. — активні гербіциди. На основі С. одержують карбамідні смоли, ціанати К і Na, гідразин, гідразоформамід, ціанурову кислоту та її естери, метиламін. Продукти конденсації С. з деякими діамінами (напр. H2N(CH2)3NH2) використовують для одержання синтетичного волокна урилону.
Усі похідні сечовини помірно токсичні. С. відкрита в 1773 р. І. Руеллем, ідентифікована (1818) І. Праутом, уперше синтезована Ф. Вьолером у 1828 р.
Общая органическая химия: В 12 т. / Под общ. ред. Д. Бартона и У.Д. Оллиса. — Т. 4. Карбоновые кислоты и их производные. Соединения фосфора / Под ред. О.И. Сазерленда. — М., 1983; Черних В.П., Зіменковський Б.С., Гриценко І.С. Органічна хімія / За заг. ред. В.П. Черних. — Х., 2008.
