СЕДИМЕНТАЦIЯ — процес осiдання часток пiд дiєю сили тяжіння. Седиментацiйна стiйкiсть тісно пов’язана із процесом осiдання частинок, зумовлена лише їх розмiром. У будь-якiй суспензiї твердi частки речовини будуть седиментуватися (осiдати) зi швидкiстю, що залежить вiд ступеня дисперсностi твердих часток i деяких iнших факторiв. У загальному виглядi швидкiсть С. відображено у формулi Стокса. При радiусi часток дисперсної фази <0,5 мкм вона непридатна, оскільки броунiвський рух перешкоджає їх осiданню. Для кулястих часток С. пiдпорядковується формулi Стокса:
,
де V — швидкість руху (осiдання), см/с; r — радiус часток дисперсної фази; d1 — густина часток дисперсної фази, г/см3; d2 — густина дисперсiйного середовища, г/см3; ν — абсолютна в’язкiсть дисперсiйного середовища, г/см · с; g — прискорення сили тяжiння, см/с2. Швидкiсть осiдання прямо пропорцiйно залежить вiд радiуса дисперсної фази та дисперсiйного середовища i обернено пропорцiйна в’язкостi дисперсiйного середовища. При застосуваннi формули Стокса треба мати на увазi, що частинки дисперсної фази повиннi бути кулястої форми, абсолютно твердi й гладенькi; крiм того, формула Стокса не вiдображує явищ, що вiдбуваються на межi розподiлу фаз, якi залежать вiд того, є речовини гідрофобними чи гiдрофiльними. Оскiльки стiйкiсть — величина за своїм значенням обернена до швидкостi С., формулу Стокса можна перетворити i одержати:
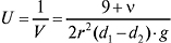
,
де U — стiйкiсть суспензiї.
Стiйкiсть суспензії буде тим бiльша, чим менший радiус часток дисперсної фази, чим подібніша густина фази i середовища, чим бiльша в’язкiсть дисперсiйного середовища.
Технология лекарственных форм: В 2 т. Т. 1 / Под ред. Т.С. Кондратьевой. — М., 1991; Тихонов О.I., Ярних Т.Г. Аптечна технологiя лiкiв. — Х., 1995.
