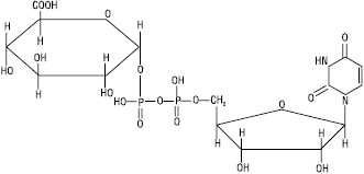
УРИДИНДИФОСФОГЛЮКУРОНОВА КИСЛОТА (УДФГК) — активна форма глюкуронової кислоти, яка забезпечує знешкодження в печінці токсичних сполук ендо- та екзогенного походження:

Попередниками УДФГК в організмі є метаболіти глюкози та уридинтрифосфату (УТФ). УДФГК бере участь у реакціях кон’югації в гепатоцитах (реакції глюкуронування). Це основний тип кон’югації в організмі людини та тварин, як ксенобіотиків, так і ендогенних субстратів. УДФГК утворюється шляхом окиснення уридиндифосфоглюкози (УДФГ) НАД-залежною УДФГ-дегідрогеназою:
УДФГ + 2НАД+ → УДФГК + 2НАДН⋅Н+.
Фермент, який каталізує реакції глюкуронування — УДФ-глюкуронілтрансферазу, локалізований у мембранах ендоплазматичного ретикулуму гепатоцитів та деяких інших органів і тканин, де також відбуваються реакції детоксикації (ШКТ, нирки, шкіра). Унаслідок реакції перенесення глюкуронової кислоти на різні функціональні групи органічних сполук утворюються глюкуроніди. Такі кон’югати утворюють: 1) ендогенні субстрати: білірубін, стероїдні гормони, тироксин; 2) продукти гниття білків у кишечнику: фенол, крезол, індол і скатол (після їх окиснення до індоксилу і скатоксилу); 3) сторонні сполуки (ксенобіотики, до яких можуть належати ЛП та отрути).
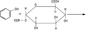
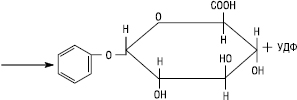
Залежно від хімічної природи субстрату розрізнять реакції О-, N- та S-глюкуронування, напр.:

Фенол УДФГК

Фенол-О-глюкуронід

Анілін Анілін-N-глюкуронід
У багатьох тканинах організму людини та тварин є фермент β-глюкуронідаза, який гідролізує кон’югати з вивільненням глюкуронової кислоти та відповідної органічної речовини. Можливо, функцією β-глюкуронідази тканин є регуляція гормональної активності шляхом вивільнення активних гормонів з їх неактивних кон’югатів. Білірубіндиглюкуронід під дією β-глюкуронідази жовчі та тонкого кишечнику переходить у вільний білірубін. Унаслідок дефекту β-глюкуронідази розвивається хвороба Слайя, при якій спостерігається накопичення хондроїтинсульфатів та гепарансульфатів у сечі.
При спадковій відсутності або зниженій активності глюкуронілтрансферази виникає печінкова спадкова жовтяниця (синдром Кріглера – Найяра). У печінці, крові та шкірі накопичується некон’югований білірубін.
Биохимия / Под ред. Е.С. Северина. — М., 2003; Біологічна хімія / Л.М. Вороніна, В.Ф. Десенко, Н.М. Мадієвська та ін. — Х., 2000; Боєчко Ф.Ф., Боєчко Л.О. Основні біохімічні поняття, визначення і терміни. — К., 1993; Гонський Я.І., Максимчук Т.П. Біохімія людини. — Тернопіль, 2001; Губський Ю.І. Біологічна хімія. — К.–Тернопіль, 2000.
