АРОМАТИЧНІ ВУГЛЕВОДНІ (арени) — клас вуглеводнів, молекули яких містять одне чи декілька бензенових кілець. Залежно від кількості бензенових циклів розрізняють: одноядерні (моноциклічні) та багатоядерні (поліциклічні) арени. Багатоядерні А.в. поділяють на арени з конденсованими (анельованими) циклами та арени з ізольованими циклами.
Найпростішим представником і найбільш важливим з одноядерних аренів є бензен С6Н6 (І). Важливе значення мають його похідні: толуен (ІІ), n-ксилен (ІІІ), кумен (ІV), стирен (V) та ін. Багатоядерні арени з конденсованими бензеновими циклами залежно від способу з’єднання циклів поділяють на: конденсовані системи з лінійним розміщенням циклів — нафтален (VI), антрацен (VII), конденсовані системи з ангулярним (кутовим) розміщенням циклів — фенантрен (VIII). Багатоядерні арени з ізольованими циклами містять два чи декілька бензенових ядер, сполучених між собою σ-зв’язком або через аліфатичний вуглецевий ланцюг — біфеніл (IX), трифенілметан (Х).

За номенклатурою IUPAC моноциклічні А.в. розглядають як похідні бензену. При наявності в бензеновому циклі двох або більше замісників їх положення вказують цифрами, для дизаміщених бензену часто застосовують позначення положення замісників префіксами: орто-(о-) — 1,2 положення, мета-(м-) — 1,3 положення, пара-(п-) — 1,4 положення. Для деяких А.в. збережені тривіальні назви: толуен, кумен, ксилен, цимен, мезитилен, стирен та ін. Назви неконденсованих багатоядерних А.в. складають за замісниковим або з’єднуючим типом, напр. трифенілметан С6Н5СН(С6Н6)2, біфеніл С6Н5С6Н5. Для багатьох конденсованих А.в. збережені тривіальні назви (нафтален, антрацен, фенантрен). Для монозаміщених нафталіну положення 1,4,5,8 прийнято позначати літерою α; 2,3,6,7 — літерою β; для дизаміщених поряд із цифровим позначенням положень замісників застосовують також префікси: орто-положення 1,2; мета— 1,3; пара— 1,4; ана— 1,5; пери— 1,8; амфі— 2,6. У молекулі антрацену положення 1,4,5,8 називають α-положеннями, 2,3,6,7 — β; 9,10 — γ або µ. А.в. — рідини чи тверді речовини, нерозчинні у воді, добрерозчинні в органічних розчинниках. Для всіх А.в. характерна низка загальних особливостей в їх будові та властивостях: наявність планарної циклічної спряженої системи, яка включає 4n + 2 π-електронів, де n=0, 1, 2, 3 і т.д.; відносна стабільність до реакцій приєднання і відносна легкість у реакціях електрофільного заміщення, насамперед: галогенування, нітрування, сульфування, алкілування та ацилування за Фріделем — Крафтсом. У молекулі незаміщеного бензену електрофільний реагент може атакувати будь-який із 6 атомів карбону. Електронодонорні замісники полегшують перебіг реакцій і спрямовують заміщення, головним чином, в орто— та пара-положення. Електроноакцепторні замісники знижують швидкість реакцій і спрямовують заміщення переважно в мета-положення. Нафтален здебільшого утворює продукти α-заміщення, що зумовлено нерівномірним розподілом електронної густини в молекулі. В антрацені та фенантрені більш реакційноздатними є положення 9,10.
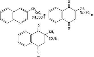
Каталітичне гідрування А.в. — загальний метод синтезу сполук ряду насичених карбоциклічних сполук. Похідні частково чи повністю гідрованого фенантрену входять до складу багатьох природних сполук, що мають фізіологічну активність: стероїдів, алкалоїдів та ін. Бензен приєднує хлор під дією УФ-випромінювання з утворенням гексахлорциклогексану. Бензен стійкий до дії окисників, але при дії кисню повітря в присутності каталізатора V2O5 і T ~500 °C окиснюється до малеїнового ангідриду. Алкілзаміщені бензену з нерозгалуженим ланцюгом окиснюються KMnO4, K2Cr2O7 та ін. за атомом карбону алкільної групи з утворенням ароматичних карбонових кислот. Конденсовані А.в. значно легше окиснюються. Залежно від природи окисника утворюються різні продукти: кисень повітря в присутності каталізатора V2O5 окиснює нафтален до фталевого ангідриду, а при дії CrO3 в СН3СООН утворюється 1,4-нафтохінон; антрацен і фенантрен окиснюються ще легше.
При окисненні гомологів нафталіну, на відміну від гомологів бензену, більш чутливе до дії окисників є нафталенове ядро:

2-Метил-1,4-нафтохінон використовують для одержання ЛП Вікасол (синтетичний вітамін К).
А.в. у промисловості добувають коксуванням кам’яного вугілля з подальшою фракційною перегонкою; із нафти — каталітичним реформінгуванням. Синтетичні методи добування аренів включають циклотримеризацію алкінів, алкілування А.в. за Фріделем — Крафтсом та за реакцією Фіттіга чи Ульмана.
А.в. застосовують у синтезі лікарських речовин, тринітротолуен входить до складу мазі Унгветол; хлоксил (1,4-біс(трихлорметил)бензен) використовують як антигельмінтну речовину; цимен входить до складу ефірних олій багатьох рослин тощо. Крім того, А.в. використовують для виробництва лаків, фарб, вибухових речовин, барвників, полістиролу, синтетичного каучуку тощо.
Ингольд К. Теоретические основы органической химии. — М., 1973; Марч Дж. Органическая химия. — М., 1987. — Т. 2; Общая органическая химия. В 12 т. / Под общ. ред. Д. Бартона и У.Д. Оллиса. Т. 1; Стереохимия, углеводороды, галогенсодержащие соединения / Под ред. Дж.Ф. Стоддарта. — М., 1981.
