ЩИТНИК ЧОЛОВІЧИЙ — Dryopteris filix-mas (L.) Schott. (грец. drys — дуб, pteris — папороть; лат. filix — папороть, mas — чоловік) з родини щитникових (Dryopteridaceae); рос. назви: папоротник мужской, щитовник мужской; нар. назви: дріоптерис чоловічий, чоловіча папороть, сорокозуб. Багаторічна трав’яниста спорова рослина з товстим горизонтальним або косим кореневищем, густо вкритим залишками черешків. Листки (ваї) короткочерешкові (черешки товсті, еластичні, як і середня жилка листка, густо вкриті великими ланцетними бурими лусочками), 50–100 см завд., зібрані біля кореневища в лійкоподібний пучок. Пластинки листків двоперистодовгасто-овальні; частки першого порядку лінійно-ланцетні або довгасті, короткочерешкові, глибокоперисторозсічені, з довгастими, тупими на верхівці, косозубчастими частками другого порядку. Соруси великі, округлі, зближені (але не зливаються), розміщені в 2 ряди по боках середньої жилки, прикриті голим, округлониркоподібним покривальцем, вдавленим по центру. Спороносить у червні–липні. Росте по всій території України в листяних і мішаних лісах, на узліссях вільшняків.
Офіцинальною сировиною є кореневища Щ.ч. — Rhizomata Dryopteris filicis-maris. Комерційна назва — європейський аспідіум.
Основними діючими речовинами Щ.ч. є фенольні сполуки. Кореневища містять: філіцин, аспідинол, альбаспідин, філіксову кислоту, флаваспідову й філіцинову кислоти; флоропірон, дубильні речовини — 7–8%; тритерпеноїди вітаміни группи В; вищі аліфатичні спирти: трикозанол-1, докозанол-1; вищі жирні кислоти. У листі знайдено етерну олію — 0,140%; вітамін С; флавоноїди; вищі жирні кислоти: лінолеву, гексадекатрієнову, пальмітинову, стеаринову, олеїнову, ліноленову, транс-гексадеценову, ейкозатетраєнову, ейкозатрієнову, ейкозапентаєнову, докозатетраєнову; ліпіди: моногалактозилдигліцериди, дігалактозилдигліцериди, сульфохіновозилдигліцериди, тригліцериди, фосфатидилхолін.

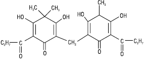
Аспідинол

Альбаспідин

Філіксова кислота
Кореневища Щ.ч. входять до фармакопей різних країн, Міжнародної фармакопеї, ДФ I–XI видань. Густий екстракт та Філіксан є ефективними антигельмінтними засобами при цистодозах. У гомеопатії застосовують аналогічно; у нар. медицині — у вигляді порошку. Настій і відвар є анальгетичними препаратами при невралгії й подагрі. Водний екстракт, фенольні сполуки (флороглюциди), аспідинол, альбаспідин пригнічують ріст молочнокислих бактерій. Етерний, ацетоновий, хлороформний екстракти проявляють бактеріостатичну активність відносно грампозитивних мікроорганізмів, фунгістатичну — відносно грибів-дерматофітів і Mycobacterium tuberculosus; ацетоновий та етерний екстракти активні відносно вірусів грипу і тютюнової мозаїки, а етанольний екстракт — вірусу герпесу; сума фенольних сполук (флороглюциди) та аспідинол активні на моделях стафілококової інфекції; фенольні сполуки (флороглюциди) проявляють протистоцидну активність. Флороглюциди папоротей гальмують процес індукції злоякісних клітин пухлинними промоутерами. Екстракт з осіннього листя стимулює розмноження дріжджів при їх виробництві.
Застосування препаратів Щ.ч. протипоказане при серцевій недостатності, захворюваннях нирок і печінки, виразковій хворобі шлунка і дванадцятипалої кишки, гострих захворюваннях ШКТ і запальних процесах, при значному виснаженні, анемії, туберкульозі, а також дітям віком молодше 2 років та вагітним.
Декоративна, отруйна (кореневища) рослина для свиней та овець при поїданні в значній кількості.
У західних і центральних районах США росте D. marginalis (L.) A. Gray, відомий як американський аспідіум, який використовують аналогічно Щ.ч.
Куцик Р.В., Зузук Б.М. Папоротник мужской. Aspidium filix mas Sw. // Провизор. — 2003. — № 6, 7; Лікарські рослини / Відп. ред. А.М. Гродзинський. — К., 1990; Растительные ресурсы СССР: Цветковые растения, их химический состав, использование. Семейства Lycopodiaceae — Ephedraceae. — СПб., 1996; Стеценко Н.М. Папороті флори України як лікарські рослини // Фітотерапія в Україні. — 2000. — № 1 (9).
