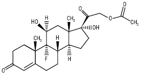
ФЛУДРОКОРТИЗОНУ АЦЕТАТ (Fludrocortisoni acetas), 9α-фтор-11β,17α,21-тригідроксипрегн-4-ен-3,20-діону-21-ацетат.
C23H31FO6 Мол. м. 422,5

АФІ синтетичного походження. Білий або майже білий порошок, практично нерозчинний у воді, розчинний в етері, частково розчинний в етанолі. Тпл =233–234 °С. УФ-спектр: λmax = 238 нм (
= 397,6) в етанолі; ІЧ-спектр см–1: 1651, 1271, 1714, 1736, 1246, 1041, (у KBr); [α]20D = +123° (с = 0,64 у хлороформі). Зберігають у прохолодному місці.
Ідентифікують за ІЧ-спектром поглинання субстанції; методом ТШХ; проводять кольорову реакцію на фторид-іон з алізарином і цирконію нітратом (відбувається зміна забарвлення з червоного на жовте). Кількісно визначають методом УФ-спектроскопії при λmax = 238 нм.
Фармакологічна група. Н02А А02 — гормональні препарати; прості препарати кортикостероїдів для системного застосування.
Фармакологічні ефекти. Має вплив на дистальні ниркові канальці, за рахунок чого підвищує реабсорбцію іонів натрію, хлору, води, одночасно підвищує секрецію іонів калію та водню, має незначний вплив на вуглеводний обмін.
Застосування. Замісна терапія при вираженій недостатності кори надниркової залози: хвороба Аддісона, вроджена дисплазія надниркової залози; адреногенітальний синдром, який супроводжується виведенням натрію із організму, конституційна та ортостатична гіпотензія.
Компендиум 2015 — лекарственные препараты / Под ред. В.Н. Коваленко. — К., 2015; Лекарственные средства / Под ред. М.Д. Машковского. — Вильнюс, 1993; От субстанции к лекарству / Под ред. В.П. Черных. — Х., 2005; Clarke’s isolation and identification of drugs / Editor A.C. Moffat. — London, 1986; European Pharmacopoeia 5; The Merk index an Encyclopedia of chemicals, drugs and biological / 13 Ed, 2001. — № 1.
