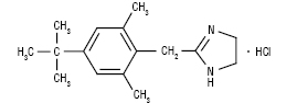
КСИЛОМЕТАЗОЛІНУ ГІДРОХЛОРИД (Xylometazolini hydrochloridum), гідрохлорид 2-(4-трет-бутил-2,6-диметилбензил)-2-імідазоліну.
C16H25ClN2 Мол. м. 280,8

АФІ синтетичного походження. Білий або майже білий порошок, легкорозчинний у воді, метанолі й етанолі, практично нерозчинний в ефірі. Зберігають у герметично закупореній тарі, яка захищає від дії світла.
Ідентифікують за ІЧ-спектром поглинання субстанції; методом ТШХ на силікагелі GR у системі розчинників: розчин амоніаку концентрований-метанол (5:100), після послідовної обробки парами хлору та сумішшю розчинів калію йодату і крохмалю; за утворенням комплексу фіолетового кольору з розчином натрій нітропрусиду; за характерною реакцією на хлориди. Кількісно визначають неводним титруванням у суміші безводної оцтової кислоти і оцтового ангідриду, точку еквівалентності фіксують потенціометрично.
Фармакологічна група. S01G A03; R01A A07 — протинабрякові та інші препарати для місцевого застосування при захворюваннях порожнини носа (α1-адреноміметики).
Фармакологічні ефекти. Судинозвужувальний, антиконгестивний.
Застосування. Гострий алергічний риніт, синусит, поліноз, середній отит (для зменшення набряку слизової оболонки носоглотки), підготовка пацієнта до діагностичних процедур у носових ходах.
От субстанции к лекарству / Под ред. В.П. Черных. — Х., 2005; Вартанян Р.С. Синтез основных лекарственных средств. — М., 2004; Швайка Ол. Основи синтезу лікарських речовин та їх проміжних продуктів. — Донецьк, 2004; Бурбелло А.Т., Шабров А.В., Денисенко П.П. Современные лекарственные средства: клинико-фармакологический справочник практического врача. — СПб., 2002; Компендиум 2015 — лекарственные препараты / Под ред. В.Н. Коваленко. — К., 2015; Машковский М.Д. Лекарственные средства. — М., 2005; European Pharmacopoeia 5; Тhе Меrc index an Encyclopedia of chemicals, drugs and biological / 13 Ed, 2001. — № 1.
