КОРТИЗОЛ, гідрокортизон (лат. cortisolum < лат. cortex — кора) — основний глюкокортикоїдний гормон людини, який утворюється клітинами пучкової зони кори надниркової залози:

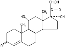
Кортизол
К. синтезується з холестеролу, який переважно надходить у клітини надниркової залози з кров’ю у складі ліпопротеїнів низької густини (ЛПНГ) або синтезується в клітинах із ацетил-КоА. У людини кора надниркової залози секретує в нормі за добу 20–30 мг К. Секреція К. регулюється АКТГ, виділення якого в свою чергу активується кортиколіберином (кортикотропін-рилізинг-гормоном) гіпоталамуса у відповідь на різні неспецифічні стимули (стресові фактори). Підвищення концентрації К. гальмує синтез кортиколіберину і АКТГ за механізмом негативного зворотного зв’язку. Існує циркадний ритм вивільнення К., який забезпечує найвищий його рівень вранці і поступово знижується до мінімальних величин наприкінці дня.
Найчутливішими органами і тканинами для К. та інших глюкокортикоїдів є печінка, нирки, лімфоїдна тканина, сполучна тканина (кістки, жирова тканина та ін.), скелетні м’язи. Глюкокортикоїди прямо або опосередковано регулюють практично всі фізіологічні та біохімічні процеси в організмі. Основним ефектом дії К. є регуляція вуглеводного обміну, яка виражається в підвищенні концентрації глюкози в крові. Це досягається головним чином стимуляцією синтезу глюкози в печінці (глюконеогенезу), стимуляцією вивільнення амінокислот (субстратів глюконеогенезу) з периферичних тканин (м’язової та лімфоїдної), гальмуванням використання глюкози в непечінкових тканинах. Ця дія К. виявляється в основному при голодуванні та недостатності інсуліну. У здорових людей ці ефекти К. урівноважуються інсуліном, який виявляє протилежний ефект, що й забезпечує нормальний рівень глюкози в крові. Вплив К. на ліпідний обмін проявляється в стимуляції синтезу ліпідів у печінці та їх розпаду в жировій тканині. На обмін білків та нуклеїнових кислот К. виявляє протилежний вплив у різних типах тканин. У печінці гормон стимулює синтез білків та нуклеїнових кислот, а в м’язах, лимфоїдній, жировій тканинах, кістках гальмує їх синтез і стимулює розпад РНК і білків.
Крім контролю зазначених метаболічних шляхів, К. та інші глюкокортикоїди регулюють перебіг багатьох фізіологічних процесів в організмі. Вони підвищують стійкість організму до різноманітних стресорних факторів (хірургічне втручання, травма, інфекції, голодування). У цих умовах секреція К. зростає в декілька разів. У високих фармакологічних дозах К. та синтетичні похідні глюкокортикоїдів гальмують практично всі фази запального процесу. При гіпофункції пучкової зони кори надниркової залози (дефіциті глюкокортикоїдів) виникає Аддісонова, або бронзова, хвороба, при якій спостерігається гіпоглікемія, зменшується вміст глікогену в тканинах, знижується стійкість організму до емоційного стресу, дії ушкоджувальних факторів (інфекційних збудників, хімічних речовин, фізичних травм). Гіперфункція, або гіперкортицизм, пов’язана із надлишком К., викликає хворобу Іценко — Кушинга, яка може бути наслідком виникнення пухлини кори надниркової залози, пухлини гіпофіза або порушення утворення кортиколіберину в гіпоталамусі. Характерними ознаками хвороби є гіперглікемія та інші симптоми, які характеризують розвиток стероїдного діабету, зменшення м’язової маси, остеопороз, стоншення шкіри, погане загоювання ран, пригнічення імунітету.
Синтетичні ЛП К. та інших глюкокортикоїдів (преднізолон, дексаметазон, тріамцинолон та ін.) широко використовуються у медичній практиці як протизапальні препарати; при алергічних станах та аутоімунних захворюваннях, таких, як ревматизм, ревматоїдний артрит, бронхіальна астма; як імунодепресанти при трансплантації органів для пригнічення реакції відторгнення. Однак їх використання в клінічній практиці може викликати тяжкі побічні ефекти і тому потребує великої обережності.
Марри Р., Греннер Д., Мейес П., Родуэлл В. Биохимия человека: В 2 т. — М., 1993; Біологічна хімія / Л.М. Вороніна, В.Ф. Десенко, Н.М. Мадієвська та ін. — Х., 2000; Губський Ю.І. Біологічна хімія. — К.–Тернопіль, 2000.
