КОКАЇНОВИЙ КУЩ (Erythroxylum coca Lam.; грец. erythros — червоний + xylon — деревина, соса — від перуанської назви рослини) — з родини кокаїнових (Erythroxylaceae). К.к. належить до роду еритроксилум, види якого поширені в Південній Америці (особливо в Болівії, Колумбії, Перу та ін.) і Мадагаскарі. Рослина походить з Перу та Болівії; широко культивується.

Кокаїновий кущ
К.к. — це густооблиснений кущ із дрібними білими квітками в пазухах листків. Листки чергові, овальні, притуплені, цільнокраї, короткочерешкові 5–10 см завд. і 2–4 см завш. У бруньках пластинка листка поздовжньо складена з обох боків і після його розгортання на нижньому боці залишаються складки у вигляді двох дуг, рівнобіжних центральній жилці. Ці коленхіматозні потовщення під епідермісом — специфічна діагностична ознака для листків К.к. Листя містить 0,7–1,5% алкалоїдів, серед яких основними є кокаїн, цинамоїл-кокаїн, труксилін. Співвідношення цих алкалоїдів коливається залежно від виду і сорту куща. Так, у листі рослини, що росте на о. Ява, вищий вміст цинамоїл-кокаїну, в болівійській і цейлонській сировині переважає кокаїн. Серед інших алкалоїдів виявлені екгонін і алкалоїди рідкої консистенції — гігрин, гігролін, куксгігрин, дигідрокуксгігрин, тропакокаїн.

Екгонін

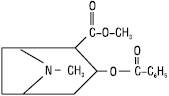
Кокаїн

Гігрин

Куксгігрин
Внаслідок кислотного або лужного гідролізу кокаїн розпадається на екгонін, метанол і бензойну кислоту. Гідролізати α- і β-труксилінів містять відповідно труксилову та ізотруксилову кислоти. К.к. здавна використовували інки: змішували листя з попелом рослин і виготовляли кульку, яку закладали за щоку і повільно жували. Жуйка виявляє тонізуючу дію при втомі, сприяє підтриманню тонусу м’язів і має особливу здатність усувати відчуття голоду. В офіцинальній медицині кокаїн та його солі (кокаїну гідрохлорид) були першими анестетиками, але зараз їх застосовують тільки як місцеві анестетики у зв’язку з наркотичною залежністю при тривалому внутрішньому прийомі. Постійне застосування кокаїну призводить до руйнування нервової системи та швидкої смерті. До недоліків кокаїну відносять його високу токсичність і нестійкість при стерилізації. Це спонукало хіміків створити синтетичні аналоги кокаїну. Такі синтетичні аналоги кокаїну були отримані в групі похідних n-бензойної кислоти (тетракаїн, лідокаїн, прокаїн).
Муравьева Д.А. Тропические и субтропические лекарственные растения. — М., 1997; Trease and Evans Pharmacognosy. — London, 1992.
