ФЕНОТІАЗИН (дибензо-1,4-тіазин, тіодифеніламін), мол. м. 199,3; жовті кристали, добре розчинні при нагріванні в етанолі, оцтовій кислоті, але погано розчиняються в ефірі та бензені; Тпл =185–189 °С, Ткип =371 °С (розкладається), сублімується.

Ф. — конденсована ароматична гетероциклічна сполука, легко вступає в реакції електрофільного заміщення переважно за положеннями 3 та 7, реакції часто супроводжуються окисненням сірки. Так, нітрування концентрованої HNO3 проходить по положеннях 3, 7. Бромування Ф. за наявності нітробензену відбувається з утворенням суміші дибром- і тетрабромпохідних:

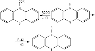
Ацилювання та алкілування здійснюється за атомом нітрогену:

Під дією Н2О2 або КМnO4 Ф. окиснюється до фенотіазиноксиду-5 (ІІ) або фенотіазиндіоксиду-5,5 (ІІІ):

Нагрівання Ф. з Cu призводить до відщеплення сірки та утворення карбазолу (дибензопіролу) (IV); нагрівання з FeCl3 у спирті — до фентіазону (V):

Ф. одержують нагріванням діариламінів із сіркою при 180–250 °С за наявності I2 або AlCl3: Ar2NH + 2S > (I). Гідроксипохідні Ф. синтезують нагріванням ариламінів з гідрохіноном і сіркою при 200 °С.
Похідні Ф. виявляють біологічну активність, сам Ф. раніше використовувався як антигельмінтна речовина; багато з N-алкіламіноалкільних похідних Ф. використовують як ЛП, що виявляють нейролептичну дію (хлорпромазин, трифлуоперазин, динезин), сам Ф. виявляє інсектицидну дію.
Гетероциклические соединения / Под ред. Эльдерфильда. — М., 1960. — Т. 6; Общая органическая химия: В 12 т. / Под общ. ред. Д. Бартона и У.Д. Оллиса. — Т. 9. Карбоновые кислоты и их производные. Соединения фосфора / Под ред. О.И. Сазерленда. — М., 1985.
