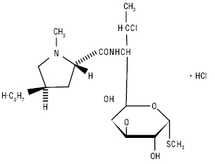
КЛІНДАМІЦИНУ ГІДРОХЛОРИД (clindamycini hydrochloridum), метил 7-хлор-6,7, 8- тридеокси-6-[(2S,4R)-1-метил-4-пропілпіролідин-2-карбоксамідо]-1-тіо-α-L-трео-D-галакто-октапіранозиду гідрохлорид.
C18H33ClN2O5S, HCl Мол. м. 461,5

АФІ синтетичного походження. Білий або майже білий кристалічний порошок, дуже добрерозчинний у воді, малорозчинний у спирті. Питоме оптичне обертання від +135о до +150о (4% водний розчин). Зберігають у добре закритому контейнері без доступу повітря, при температурі, що не перевищує 30 оС.
Ідентифікують за ІЧ-спектром поглинання субстанції; методом ТШХ; за реакцією з натрію нітропрусидом (фіолетове забарвлення); за реакцією на хлориди. Кількісно визначають методом рідинної хроматографії.
Фармакологічна група. D10A F01; G01A A10; J01F F01 — антибіотики групи лінкозамідів.
Фармакологічні ефекти. Пригнічує синтез білка в мікробній клітині, взаємодіючи з 50S-субодиницями рибосом. Чинить бактеріостатичну дію, а у вищих концентраціях — бактерицидну. Активний відносно аеробних грампозитивних коків, включаючи Staphylococcus aureus, Staphylococcus epidermidis (зокрема штами, що продукують і не продукують пеніциліназу); Staphylococcus spp. (за винятком Streptococcus faecalis), Streptococcus pneumoniae; анаеробні грамнегативні бактерії, включаючи Bacteroides spp. (зокрема B. fragilis, B. melaninogenicus), Fusobacterium spp.; анаеробні грампозитивні неспоротворні бактерії, включаючи Propionibacterium, Eubacterium, Actinomyces; анаеробні і мікроаерофільні грампозитивні коки, включаючи Peptococcus spp., Peptostreptococcus spp. До препарату чутливі Chlamydia trachomatis. Більшість штамів Clostridium perfringens, Cl. sporogenes і Cl. tertium часто стійкі до дії кліндаміцину.
Застосування. Системне застосування: інфекційно-запальні захворювання, спричинені чутливими до препарату мікроорганізмами: інфекції ЛОР-органів, зокрема, тонзиліт, фарингіт, синусит, середній отит, скарлатина; інфекції органів дихання, зокрема, отит, бронхіт, пневмонія, абсцес легені, емпієма плеври; інфекції шкіри і м’яких тканин, зокрема, акне, фурункульоз, целюліт, імпетиго, панарицій, абсцеси, інфіковані рани; інфекції кісток і суглобів, зокрема, остеомієліт та гнійний артрит; гінекологічні інфекції, зокрема, ендометрит, цервіцит, кольпіт, сальпінгоофорит, пельвіоцелюліт, пельвіоперитоніт; інфекційні процеси в черевній порожнині, зокрема, перитоніт і абсцеси органів черевної порожнини; септицемія та ендокардит (у тих випадках, коли вдається досягти бактерицидної концентрації препарату); інфекції порожнини рота, зокрема, періодонтальний абсцес; профілактика перитоніту або абсцесу черевної порожнини після прориву кишечнику (у складі комбінованої антибактеріальної терапії). Інтравагінальне застосування: бактерійний вагіноз, викликаний чутливими до кліндаміцину мікроорганізмами. Зовнішнє застосування: юнацькі вульгарні вугри (acne vulgaris).
Компендиум 2015 — лекарственные препараты / Под ред. В.Н. Коваленко. — К., 2015; От субстанции к лекарству / Под ред. В.П. Черных. — Х., 2005; European Pharmacopoeia 5; Clarke’s isolation and identification of drugs / Editor A.C. Moffat. — London, 1986.
