КИСЛОТИ НУКЛЕЇНОВІ (лат. acida nucleinica < лат. nucleus — ядро) — високомолекулярні органічні сполуки — полінуклеотиди, які складаються з великої кількості мононуклеотидів, зв’язаних між собою 3',5'-фосфодіефірними зв’язками. Біологічна роль К.н. полягає у збереженні, передаванні та реалізації генетичної інформації. К.н. виявлені вперше в 1868 р. швейцарським дослідником Ф. Мішером у складі ядер лейкоцитів і були названі нуклеїном, а пізніше — К.н. Згодом із об’єктів тваринного, рослинного світу та мікроорганізмів були виділені різні К.н. У 1943 р. Евері, Мак-Леод і Мак-Карті отримали прямий доказ того, що ДНК несе генетичну інформацію. У клітинах існують два види К.н.: РНК та ДНК. Відрізняються вони за будовою, складом, властивостями та функціями. Загальний вміст ДНК і РНК у клітинах залежить від їх функціонального стану. У сперматозоїдах кількість ДНК досягає 60% (у перерахунку на суху масу клітин), у більшості клітин 1–10%, а у м’язах — близько 0,2%. Вміст РНК у клітинах, як правило, в 5–10 разів більший, ніж ДНК. Особливо багаті на К.н. регенеруючі тканини, секретуючі органи, клітини злоякісних пухлин. ДНК еукаріотів міститься переважно в ядрах клітин, головним чином, у хромосомах; невелика кількість (1–3%) — у мітохондріях. РНК, на відміну від ДНК, розподілена в клітині більш рівномірно, вона знаходиться в ядрі, мітохондріях, рибосомах і гіалоплазмі. Молекулярна маса найменшої з К.н. — транспортної РНК (тРНК) становить близько 25 кД, а молекулярна маса ДНК варіює від 1000 до 1 000 000 кД. Молекули ДНК — надзвичайно довгі і зазвичай складаються з двох ланцюгів, молекули РНК значно коротші, ніж ДНК, і одноланцюгові. Функція ДНК полягає в тому, що вона зберігає запас генетичної інформації, необхідної для кодування структури всіх білків і всіх РНК кожного виду організму. Кількість ДНК у соматичних та статевих клітинах організму людини є постійною величиною. ДНК передає генетичну інформацію нащадкам при подвоєнні її молекул у процесі реплікації й реалізує цю інформацію шляхом передавання закодованої в ній інформації молекулам інформаційних (матричних) РНК (транскрипція) та подальшого розшифрування цієї інформації при синтезі білків (трансляція) за схемою:

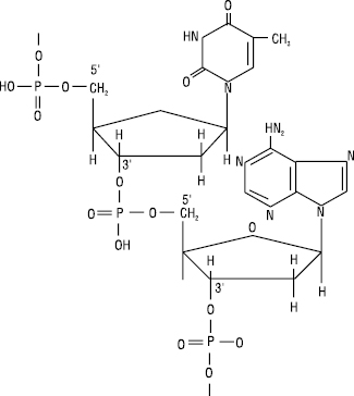
Напрямок перенесення генетичної інформації від ДНК через РНК до білка називається центральною догмою молекулярної біології. У РНК-вмісних вірусів функцію зберігання та перенесення генетичної інформації виконує РНК. Усі РНК за характером своєї структури, розмірами, локалізацією в клітині та біологічними функціями поділяються на три основні типи: інформаційні або матричні РНК (мРНК), рибосомні (рРНК) і транспортні (тРНК). Матрична РНК становить близько 2–5% усієї клітинної РНК і виконує функцію переносника генетичної інформації від ДНК до білоксинтезуючої системи клітини. Вони служать матрицями, які використовуються рибосомами при перекладанні генетичної інформації в амінокислотну послідовність білків. Рибосомні РНК — основні компоненти рибосом, на них припадає до 80% загальної кількості клітинних РНК. Разом із білками вони становлять основу структури та функцій рибосом, виконують функцію структурного каркасу для організації внутрішньоклітинної системи білкового синтезу. На тРНК припадає 10–15% від усієї РНК клітини. У клітинах знаходиться не менше 32 різновидів тРНК для забезпечення етапу трансляції. Основна функція тРНК полягає в тому, що вони транспортують α,L-амінокислоти до рибосом і розташовують їх у певному порядку в поліпептидному ланцюзі під час його біосинтезу. В еукаріотичних клітинах існують ще два класи РНК: гетерогенні ядерні РНК (гяРНК) — ядерні попередники мРНК та малі (низькомолекулярні) ядерні РНК (мяРНК), які беруть участь у процесингу гяРНК. Структурними мономерами К.н. є мононуклеотиди, які складаються з азотистої основи, пентози і залишку фосфорної кислоти. Мононуклеотиди молекул ДНК та РНК відрізняються за пентозою, а також за складом піримідинових основ. До складу ДНК входить дезоксирибоза та азотисті основи: аденін, гуанін, цитозин і тимін. Молекули РНК містять рибозу й азотисті основи — аденін, гуанін, цитозин та урацил. Н.к. мають первинну, вторинну і третинну структури. Кількість, якість і порядок розташування мононуклеотидів у полінуклеотидному ланцюзі становить їх первинну структуру. Мононуклеотиди сполучаються між собою в полінуклеотидний ланцюг за допомогою фосфодіефірних зв’язків, які утворюються між 3'- та 5'-гідроксильними групами пентоз (рибози або дезоксирибози) сусідніх нуклеотидів:

Первинна структура ДНК
(фрагмент полідезоксирибонуклеотидного ланцюга)
У 1953 р. Дж. Уотсон та Ф. Крік встановили вторинну структуру ДНК, зобразивши її у вигляді подвійної спіралі. Згідно з моделлю Дж. Уотсона та Ф. Кріка, молекула ДНК складається з двох антипаралельних поліпептидних ланцюгів, правозакручених навколо спільної осі з утворенням подвійної спіралі, що має діаметр 1,8–2,0 нм з періодом ідентичності (кроком) 3,4 нм.

Азотисті основи двох ланцюгів вибірково з’єднуються між собою водневими зв’язками, утворюючи специфічні пари А-Т, Г-Ц. Ці основи з’єднуються за принципом комплементарності, який визначається правилами Чаргаффа. Крім водневих зв’язків, стабільність молекули ДНК підтримується «стекінг-взаємодіями», які виникають між пласкими гетероциклами азотистих основ. У клітині подвійна спіраль ДНК додатково згорнута в просторі, утворюючи третинні структури у вигляді суперспіралей. У суперспіралізованому стані молекули ДНК у комплексі з білками-гістонами входять до складу хроматину еукаріотів у вигляді його структурних одиниць нуклеосом, які, у свою чергу, утворюють ще більш компактні структури у формі соленоїдів. Така організація хроматину сприяє зменшенню лінійних розмірів ДНК у 104 разів.
Для вторинної структури РНК характерна також спіралізація, однак у межах лише одного ланцюга; ланцюг закручується сам на себе, утворюючи короткі двоспіральні «шпильки», «петлі», в яких між азотистими основами виникають водневі зв’язки.
У медичній практиці використовують мономери К.н. — мононуклеотиди. Так, АТФ застосовують у комплексній терапії м’язової дистрофії та атрофії, при спазмах периферичних судин, при хронічній коронарній недостатності та міокардіодистрофії, іноді використовують для стимуляції пологової діяльності. Фосфаден, або АМФ, застосовують при лікуванні гострої порфирії й отруєнні свинцем, хронічного облітеруючого ендартериїту, тромбофлебіту, при хронічній венозній недостатності, а також ішемічній хворобі серця.
Гонський Я.І., Максимчук Т.П. Біохімія людини. — Тернопіль, 2001; Губський Ю.І. Біологічна хімія. — К.–Тернопіль, 2000; Ленинджер А. Основы биохимии: В 3 т. — Т. 3. — М., 1985; Основы биохимии / А. Уайт, Ф.Хендлер, Э.Смит и др: В 3 т. — Т. 1. — М., 1981.
