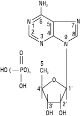
КИСЛОТИ АДЕНОЗИНФОСФОРНІ (аденінові рибонуклеотиди) — похідні аденозину, що містять залишки ортофосфорної або поліфосфорних кислот в різних положеннях рибозного кільця. Залежно від кількості фосфорних залишків розрізняють аденозинмонофосфорну (АМФ), аденозиндифосфорну (АДФ) та аденозинтрифосфорну (АТФ) кислоти:

А.к. містяться в тканинах усіх організмів у зв’язаному з білками стані та у вигляді комплексів з іонами Mg2+ та Ca2+. А.к. беруть участь в обміні речовин та енергії — скороченні м’язів, біосинтезі білків та нуклеїнових кислот, нервовому збудженні, синтезі різних біополімерів клітини, транспорті речовин та іонів, в інших процесах, які відбуваються зі збільшенням вільної енергії та сполучені з гідролізом АТФ. Приєднання фосфорних груп до АМФ супроводжується акумуляцією енергії в макроергічних сполуках — АДФ і АТФ. Кінцеві фосфатні залишки відщеплюються від молекули АТФ за допомогою ферментів аденозинтрифосфатаз. У результаті вивільнюється енергія (30–40 кДж з розрахунку на один фосфат). Фосфорилювання АДФ з утворенням АТФ в живих організмах відбувається при сполученні цієї реакції з окиснювально-відновними реакціями. Розрізняють три типи сполучення: в гліколізі, що відбувається в цитоплазмі; при окиснювальному фосфорилюванні, яке має місце в мембранах мітохондрій та хлоропластів; сполучення, що має місце в клітинах бактерій. Крім енергетичної аденозин-5''-фосфорні кислоти виконують також функції алостеричних регуляторів активності ряду ключових ферментів.
Крім зазначених аденозиннуклеотидів відомі нуклеотиди, в яких фосфорна кислота одночасно етерифікує (зв’язує) дві гідроксильні групи пентозного залишку, утворюючи циклічну аденілову кислоту (аденозин 3'',5''-цикломонофосфат (цАМФ)). Циклічні нуклеотиди є важливими регуляторами внутрішньоклітинних процесів.
АМФ та АТФ застосовують в медицині при м’язових дистрофіях, стенокардії та спазмах судин.
Біологічний словник / За ред. К.М. Ситника і В.О. Топачевського. — К., 1986; Боєчко Ф.Ф., Боєчко Л.О. Основні біохімічні поняття, визначення і терміни. — К., 1993; Химическая энциклопедия. — М., 1988.
