Фолієва кислота (лат. acidum folicum < лат. folium — листок) вітамін Вс, В9 — виділена в 1939 р. з листків шпинату, у зв’язку з чим і отримала свою назву. Досить поширена в природі, синтезується в тканинах рослин, мікроорганізмів, частковий синтез здійснюється в організмі людини і тварин мікрофлорою кишечнику.
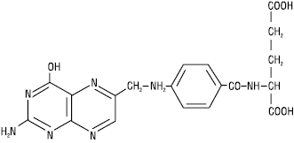
За хімічною будовою фолієва кислота є птероїлглутаміновою кислотою. Її молекула складається з трьох структурних одиниць: залишку птеридину (конденсованого біциклу, який складається з піримідинового і піразинового кілець), параамінобензойної кислоти (ПАБК) і глютамінової кислоти. Фолієва кислота обмежено розчинна у воді.

У продуктах харчування фолієва кислота знаходиться в неактивній формі. Перетворення її на біологічно активну форму відбувається під дією специфічних ферментів, які забезпечують її відновлення та утворення форміл-5,6,7,8-тетрагідрофолієвої кислоти (ТГФК — фолінової кислоти), яка в 100 разів активніша за фолієву кислоту і дістала назву цитроворум-фактор. Функції ТГФК визначаються її коферментами: N5-форміл-ТГФК, N10-форміл-ТГФК, N5,N10–-метеніл-ТГФК- і N5-метил-ТГФК, що беруть участь у перенесенні вищевказаних однокарбонових груп. Усі коферменти взаємно перетворюються один на одного і можуть передаватися від однієї коферментної форми до другої та використовуватися в різних реакціях, зокрема, в синтезі пуринів і піримідинів, в утворенні ТМФ і УМФ та деяких амінокислот (гліцину із серину, метіоніну з гомоцистеїну). Тому фолієва кислота відіграє виняткову роль у біосинтезі нуклеїнових кислот і процесах поділу клітин.
Відзначено, що ПАБК, яка входить до складу фолієвої кислоти, необхідна для росту деяких бактерій. Додавання структурних аналогів ПАБК, зокрема, сульфаніламідних препаратів гальмує ріст бактерій. Стимуляція росту бактерій ПАБК зумовлена включенням її до складу молекули фолієвої кислоти. Заміна ПАБК на сульфаніламід (антивітаміни) у фолієвої кислоти призводить до утворення псевдоферментів, що порушує процеси біосинтезу нуклеїнових кислот і сприяє появі антимікробної дії сульфаніламідних препаратів. При нестачі фолієвої кислоти порушуються кровотворні процеси — еритро-, лейко- та тромбопоез. Виникають розлади функцій внутрішніх органів, спостерігаються зміни слизових оболонок; у дітей — гіпотрофія, відставання у мові. При цьому розвиваються різні види злоякісних анемій — макроцитарної, спру, Аддісона — Бірмера.
У медичній практиці застосовують фолієву кислоту і кальцію фолінат (аналог тетрагідрофолієвої кислоти). Призначають їх при фолієвому дефіциті для стимуляції кровотворення, при порушенні функцій кишечнику. Антивітамінами фолієвої кислоти є аміно- й аметоптерини (ЛП Метотрексат), які застосовують як протипухлинні препарати, що гальмують синтез нуклеїнових кислот і білка в клітинах.
Биохимия / Под ред. член-кор. РАН Е.С. Северина. — М., 2003; Боєчко Ф.Ф., Боєчко Л.О. Основні біохімічні поняття, визначення і терміни. — К., 1993; Гонський Я.І., Максимчук Т.Т. Біохімія людини. — Тернопіль, 2001.
