КИСЛОТА ПІКРИНОВА (лат. acidum picrinicum < грец. pykros — гіркий), тринітрофенол, 2,4,6-тринітрофенол, жовті кристали (Tпл. 122,5 °С, Tкип. 195 °С, рКа 0,38) малорозчинні у воді, краще — в органічних розчинниках, сульфатній кислоті; розчини в Н2SO4 — безбарвні.
Мол. м. 299,09

Водні розчини мають жовте забарвлення, що пов’язано з існуванням хіноїдної форми:

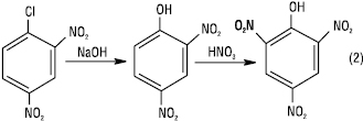
П.к. — бризантна вибухова речовина, чутлива до удару і тертя. К.п. проявляє властивості нітрофенолів. Утворює пікрати з NH3, металами, анілінами та ароматичними сполуками. Взаємодія К.п. з КСN сприяє утворенню сполуки червоного кольору. Цю здатність використовують для якісного визначення малих кількостей К.п. Відновлюється К.п. до пікролінової кислоти (2-аміно-4,6-динітрофенолу), при більш глибокому відновленні — до триамінофенолу. К.п. утворює етери та естери за гідроксильною групою. Промислові способи добування К.п. базуються на сульфуванні фенолу з наступним нітруванням 4-гідроксибензолсульфокислоти (1); на омиленні 2,4-динітрохлорбензолу до 2,4-динітрофенолу з наступним нітруванням (2); окисному нітруванні бензолу за наявності ртутних каталізаторів (3):



К.п. широко використовують у фармацевтичному аналізі, як індикатор для колориметричного виявлення білків і амінокислот; вона є одним із групових реагентів, який застосовують для одержання алкалоїдів; застосовується у виробництві азобарвників. К.п. подразнює шкіру, викликає отруєння. ГДК 0,1 мг/м3 (США).
Черных В.П., Зименковский Б.С., Гриценко И.С. Органическая химия / Под общ. ред. В.П. Черных. — 2-е изд. — Х., 2007; Терней А. Современная органическая химия. — М., 1981.
