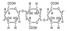
КИСЛОТА АЛЬГІНОВА. АЛЬГІНАТИ (лат. alga — морська трава, водорості) використовують як стабілізувальні, суспендуючі, склеювальні й такі, що покращують плинність таблетованої маси речовини. Це природні полісахариди, молекули яких побудовані із залишків β-D-мануронової (І) і α-L-гулуронової (ІІ) кислот, що знаходяться в піранозній формі та пов’язані в довгі лінійні ланцюги 1→4-глікозидними зв’язками. Співвідношення між мономерами змінюється в широких межах і залежить від джерела отримання. Розподіл мономерів у ланцюгу має блочний характер трьох типів: однакових залишків β-D-мануронової або α-L-гулуронової кислот або певним чергуванням залишків цих кислот. Довгі ланцюги кислот перехрещуються, зшиваються в тримірні ланцюги, які своїми карбоксильними групами з’єднуються з металами (найчастіше — з двовалентними).

К.а. (ІІІ) отримують із бурих водоростей, головним чином, родів ламінарія (Laminaria) і макроцистис (Macrocystis), які можуть містити 20–40% кислоти від сухої біомаси. Сировину попередньо звільняють від низькомолекулярних сполук і легкорозчинних полісахаридів (ламіназину, фукоїдину) шляхом обробки розбавленою мінеральною кислотою. К.а. екстрагують розчином соди або лугу й осаджують у вигляді кислоти (шляхом підкислення) або нерозчинної кальцієвої солі.

К.а. є аморфною безбарвною або слабко забарвленою речовиною з мол. м. 35 000–1 500 000. Наявність карбоксильних і гідроксильних груп дає можливість їй утворювати велику кількість похідних — солей, етерів, амідів тощо. Як і всі рослинні волокна водоростей, вона важкорозчинна у холодній воді, розчинна в гарячій і розчинах лугів; при підкисленні розчину утворює гелі. Має іонообмінні властивості, що використовуються в медичній практиці для виведення з організму важких металів (свинцю, міді, барію, стронцію), катіони яких мають більшу спорідненість і витісняють іони кальцію з альгінату кальцію, міцно зв’язуючись з К.а.
К.а. та її солі (альгінати) практично нешкідливі, не всмоктуються у кров, добре переносяться організмом, тому ці сполуки рекомендовані ВООЗ і FDA як допоміжні речовини та харчові добавки. Нині за кордоном К.а. та альгінати є загальновизнаними інгредієнтами у виробництві таблеток. Здатність при контакті з водою поглинати її в кількості, що у 200–300 разів перевищує масу альгінатів, робить їх ефективними розпушувачами, що прискорюють здатність таблеток розпадатися. Зволожена К.а. після висушування не втрачає своєї здатності до набрякання, що може бути використане в процесі вологої грануляції. При такому способі її введення в таблетки спостерігається їх краща здатність розпадатися, ніж при змішуванні цих сполук із гранулами при таблетуванні. Додаткова її перевага полягає в зв’язувальних властивостях, які запобігають пилоутворенню при таблетуванні, поліпшують товарний вигляд таблеток і зменшують зношування прес-інструмента машин. К.а. повільно гідролізується при високій температурі, утворюючи речовини з низькою мол. м. і низькою в’язкістю. Їх можна стерилізувати автоклавуванням або фільтрацією через фільтр з порами 0,22 мм. Автоклавування може знизити в’язкість залежно від природи інших наявних речовин. Вона несумісна з сильними окиснювачами, утворює нерозчинні солі за наявнності лужно-земельних металів ІІІ групи, за винятком магнію.
Альгінати — група природних високомолекулярних речовин (полімерів), що містять власне К.а. та її численні солі: калію, натрію, кальцію, магнію, амонію, алюмінію, вісмуту та ін. А. калію (С6Н7О6К)n, натрію, кальцію та магнію ([С6Н7О6)2Mg]n) легкорозчинні у воді з утворенням в’язких розчинів. Найбільшим попитом на зарубіжних ринках користуються А. натрію. Залежно від мол. м. та інших показників А. розрізняються розчинністю, терміном набрякання, в’язкістю. В’язкість розчинів А. зменшується з підвищенням температури, а при високих температурах може виникати явище деполімеризації. Гелеутворення А. пояснюється асоціацією блоків, побудованих із гулуронової кислоти за участю катіону. Для А. кальцію визначено, що їх зони мають надмолекулярну структуру, де кожний катіон координується з 10 атомами кисню чотирма залишками α-L-гулуронату. Тому властивості гелів у першу чергу зумовлені кількістю й протяжністю блоків полігулуронової кислоти. Тому процес гелеутворення можна регулювати. Густі гелі отримують шляхом переведення 50% розчину альгінової кислоти в кальцієву сіль, а за необхідності уникнення процесу гелеутворення додають желатоутворювальні сполуки. А. практично безпечні, не всмоктуються у кров, добре переносяться організмом. Водорозчинні А. у розчинах від 4 до 6% утворюють практично нетоксичні гелі; у більш високих концентраціях — драглі або пастоподібні суміші.
Плівкоутворювальні властивості А. використовують для нанесення захисного покриття на таблетки і драже. В останні роки визначилась можливість додавання А. до ЛП у формі капсул і мікрокапсул, для одержання яких раніше переважно застосовувався желатин. Уведення в желатинову масу А. дозволяє створювати якісно новий вид капсул з вибірковою розчинністю в певних відділах ШКТ. Водорозчинні А., маючи довгі ланцюги, здатні легко обмінювати свої катіони на іони лужноземельних металів з утворенням важкорозчинних солей сітчастої структури, які можуть бути основою депо для ЛП. Ця властивість використовується в різних лікарських формах для пролонгації дії фармацевтичних препаратів. А. використовують як емульгатори, загущувачі, стабілізатори при виготовленні паст, мазей, стійких емульсій. Так, А. натрію може служити для стабілізації суспензій, емульсій мінеральних олій, одержання стійких пін в аерозольних препаратах. У краплях для носа як загущувач додається 1% А. У такій же кількості їх використовують і при виготовленні коригованих суспензій. Для одержання гідрогелів, кремів і паст А. використовують у концентрації 5–10%. При виготовленні гідрогелів дотримуються певної послідовності: порошок А. диспергують з невеликою кількістю води до отримання пастоподібної консистенції, додають решту води, перемішують і залишають на кілька годин.
Для прискорення процесу розчинення А. як диспергатори можна використовувати етанол, гліцерин, крохмаль, цукор. Отриманий розчин (гідрогель) не слід нагрівати до температури >50 оС (можлива часткова деполімеризація). Ліки на основі А. найбільш стабільні при рН 4,0–10,0. При додаванні до розчинів А. (гідрогелів) електролітів у невисоких концентраціях приводить до зменшення, а у високих — до збільшення в’язкості. Незначна кількість А. одно-, дво- і тривалентних сполук (кальцію, цинку, міді) при виготовленні гідрогелів приводить до утворення желе (при їх виробництві необхідно використовувати воду очищену).
Для отримання стабільних розчинів з високою концентрацією електролітів використовують похідні К.а. — розчинний пропіленгліколевий етер (див. Пропіленгліколь) або інші похідні. Гідрогелі А. відносно легко розкладаються під впливом мікробного забруднення, тому слід використовувати консерванти (ніпагін, ніпазол, сорбат калію, сорбінову кислоту в концентрації ~0,1–0,2%).
При вивченні ЛП індометацину з контрольованим вивільненням установлено, що безперервне вивільнення діючої речовини є можливим завдяки мікрочастинкам А. (желатиновий гідроколоїд). Крім того, в ліпосомо-асоційованих макромолекулах як речовина, що здатна контролювати вивільнення діючої речовини, є мікрогранули, отримані шляхом інкапсулювання ліпосом і покриття їх плівкою із К.а. і полі-Z-лізину. Гранули, покриті гелем із А., здатні знаходитись у шлунку і виявляти необхідну дію, одночасно не порушувати цілісність слизової оболонки шлунка. А. можуть поєднуватись з мембраною клітин. Ці комплекси можуть використовуватись для лікування ревматичних захворювань, атонічного діатезу, захворювань печінки. Альгінові олігосахариди, отримані із природних, їстівних полісахаридів, спроможні пригнічувати чутливість Th2-рецепторів і вироблення імуноглобулінів класу Е (lgЕ), стимулюючи синтез IL-12, що є необхідним для запобігання розвитку алергічної реакції.
Сьогодні інтерес до А. значно зростає у виробництві численних ЛП, де вони широко використовуються як допоміжні речовини, що покращують технологічні характеристики ліків, підвищують їх ефективність та роблять більш дешевими й зручними у використанні, а також як діючі речовини. З цією метою А. використовують при виробництві ЛП з імуностимулювальними властивостями (А. стимулюють фагоцитоз, зв’язують надлишкову кількість антитіл та імуноглобулінів класу Е, підвищують вироблення імуноглобулінів класу А); ЛП для профілактики старіння, атеросклерозу, раку, підвищення радіорезистентності організму; ліків для зв’язування та виведення з організму токсичних металів, особливо катіонів стронцію при ураженнях радіоізотопами 90Sr; ліків з антацидними та стимулювальними властивостями при лікуванні виразок, ран, травм, опіків, кровотечі та багатьох інших патологічних станів. А. не тільки стимулюють процеси загоєння, але й легко розсмоктуються. А. можуть сполучатися з іншими АФІ, знижуючи їх концентрацію або зменшуючи вираженість побічної дії.
А. широко використовують в інших галузях виробництва: парфумерно-косметичній, харчовій, текстильній, паперовій та ін. На сьогодні виробництво А. у світі сягає 25 000 т на рік (2002).
Жогло Ф., Возняк В., Попович В. та ін. Допоміжні речовини та їх застосування в технології лікарських форм. — Львів, 1996; Перцев И.М., Котенко А.М., Чуешов О.В. и др. Фармацевтические и биологические аспекты мазей: Монография. — Х., 2003; Фармацевтичні і медико-біологічні аспекти ліків / За ред. проф. І.М. Перцева. — Вінниця, 2007; Хаус А. в кн.: Методы химии углеводов / Пер. с англ. — М., 1967; Percival E., McDowell R.H. Chemistry and enzymology of marine algal polysacharides. — L.–N.Y, 1967; McNeely W.H., Pettitt D.J. в кн: Industrial gums ed. By R.L. Whistler, 2 ed. — N.Y., 1973.

