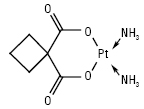
КАРБОПЛАТИН (carboplatinum), біс-діаміно[циклобутан-1,1-дикарбоксилато(2-)-О,О’]платинум.
C6H12N2О4Pt Мол. м. 371,3

АФІ синтетичного походження. Безбарвний кристалічний порошок, помірно розчинний у воді, дуже малорозчинний в ацетоні та спирті. Tпл. 200 0С з розкладанням. Зберігають у щільно закупореному контейнері, у захищеному від світла місці.
Ідентифікують за ІЧ-спектром поглинання субстанції. Кількісно визначають гравіметрично.
Фармакологічна група. L01X A02 — антинеопластичні препарати групи з’єднань платини.
Фармакологічні ефекти. Неорганічне комплексне з’єднання платини. Механізм дії обумовлений взаємодією з ДНК із утворенням внутрішньо- та міжспіральних зшивань, які змінюють структуру ДНК і пригнічують її синтез.
Застосування. Монотерапія або комбінована хіміотерапія таких злоякісних захворювань, як рак яєчника, метастатична карцинома молочної залози, рак легені (дрібноклітинний і недрібноклітинний), пухлини голови та шиї, рак шийки матки, рак сечового міхура і пухлини яєчка.
От субстанции к лекарству / Под ред. В.П. Черных. — Х., 2005; Компендиум 2015 — лекарственные препараты / Под ред. В.Н. Коваленко. — К., 2015; European Pharmacopoeia 5; The Merk index: Аn Encyclopedia of chemicals, drиgs and biological / 13 Ed, NI, 2001.
