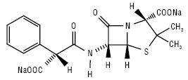
Карбеніциліну динатрієва сіль (сarbenicillinum natricum), динатрію (2S,5R,6R) -6-[(RS)-2-карбоксилато-2-фенілацетиламіно]-3,3-диметил-7-оксо-4-тіа-1-азабіцикло[3.2.0]гептан-2-карбоксилат.
C17H16N2Na2o6S Мол. м. 422,4

АФІ напівсинтетичного походження. Білий або злегка жовтуватий порошок, гігроскопічний, легкорозчинний у воді, розчинний у спирті та метанолі. Питоме оптичне обертання від +182о до +196о (1% водний розчин). Зберігають у щільно закупореному контейнері, у захищеному від світла місці, при температурі 2–8 оС.
Ідентифікують за ІЧ-спектром поглинання субстанції; методом ТШХ; з розчином формальдегіду в кислоті сірчаній; проводять реакцію на іон натрію. Кількісно визначають методом рідинної хроматографії.
Фармакологічна група. J01C A03 — антибіотики групи пеніцилінів широкого спектру дії.
Фармакологічні ефекти. Володіє бактерицидною активністю. Ацетилює мембранозв’язаний фермент транспептидазу, блокує проникність і синтез пептидогликанів клітинної стінки, зумовлюючи осмотичну нестійкість мікроорганізму. Спектр дії широкий. Активний відносно грампозитивних збудників (Staphylососсus sрр., Streрососсus sрр., крім пеніциліназоутворюючих штамів), анаеробних бактерій, Sеrrаtiа mаrсеsсеns, Еntеrоbасtеr, грамнегативних бактерій (Рsеudоmоnаs аеruginоsа, Рrоtеus sрр., крім ампіцилінрезистентних штамів Ргоtеus mirаbilis), Salmоnеllа sрр., Shigеllа sрр., Есheriсhiа соli, Наеmорhilus influenzа. Взаємодіє з пеніцилінзв’язуючими білками цитоплазматичної мембрани.
Застосування. Інфекції сечових шляхів; септицемія; ендокардит; менінгіт; остеомієліт; перитоніт; гнійний отит; ранові інфекції, інфіковані опіки та ін.
От субстанции к лекарству / Под ред. В.П. Черных. — Х., 2005; Clarke’s isolation and identification of drugs / Editor A.C. Moffat. — London, 1986; European Pharmacopoeia 5; The Merk index: An Encyclopedia of chemicals, drugs and biological. 13 Ed. — 2001. — № 1.
