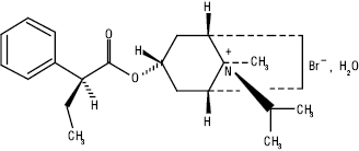
ІПРАТРОПІНУ БРОМІД (Ipratropini bromidum), 3-[(RS)-(3-гідрокси-2-фенілпропаноїл)окси]-8-метил-8-(1-метилетил)-8-азоніабіцикло.
C20H30BrN03 H2O Мол. м. 430,4

З енантіомерами
АФІ синтетичного походження. Білий або майже білий кристалічний порошок, легкорозчинний у воді, малорозчинний в метанолі, практично не розчинний в етанолі. Тпл =230– 232 °С; рН 5,0–7,5; УФ-спектр: λmax=246 нм, λmax=263 нм. Оптична активність 1% розчину препарату у воді, позбавленого СО2, становить від –0,10 до 0,10 °С. Зберігають у захищеному від теплових дій і прямого сонячного проміння місці, при температурі не вище 30 °С.
Ідентифікують за ІЧ-спектром поглинання субстанції, ідентифікують методом ТШХ в системі мурашина кислота безводна — вода — етанол — метиленхлорид (2,5:7,5:45:45), хроматограму обробляють розчином калію тетрайодвісмутату; проводять реакцію на бромід-іони, проводять реакцію нагрівання розчином калію гідроксиду в метанолі (до фіолетового забарвлення). Кількісно визначають методом осаджувального титрування з потенціометричним фіксуванням точки еквівалентності.
Фармакологічна група. R03B B01, R01A X03 — інші протиастматичні препарати, що застосовують інгаляційно; протинабрякові та ін. препарати для місцевого застосування при захворюваннях порожнини носа.
Фармакологічні ефекти. Внаслідок зв’язування з М-холінорецепторами бронхів та блокади впливу ацетилхоліну чинить бронхолітичну дію, викликає зменшення секреції залоз слизової оболонки носа.
Застосування. Купірування та профілактика бронхоспазму при бронхіальній астмі та ХОЗЛ, у т.ч. хронічному бронхіті; для зменшення вираженості ринореї при алергічному та неалергічному риніті.
Компендиум 2015 — лекарственные препараты / Под ред. В.Н. Коваленко — К., 2015; От субстанции к лекарству / Под ред. В.П. Черных. — Х., 2005; Clarke’s isolation and identification of drugs/ Editor A.C. Moffat. — London, 1986; European Pharmacopoeia 5; The Merk index an Encyclopedia of chemicals, drugs and biological / 13 Ed, 2001. — № 1.
